Genesis of granular calcite in lacustrine fine-grained sedimentary rocks and its indication to volcanic-hydrothermal events: A case study of Permian Lucaogou Formation in Jimusar Sag, Junggar Basin, NW China

  • LI Ke ,
  • XI Kelai , * ,
  • CAO Yingchang ,
  • WANG Youcheng ,
  • LIN Miruo
Expand
  • Key Laboratory of Deep Oil and Gas, China University of Petroleum (East China), Qingdao 266580, China

Received date: 2022-11-22

  Revised date: 2023-03-30

  Online published: 2023-06-21

Supported by

National Natural Science Foundation Project of China(42072161)

College Basic Research Funding Project(22CX07008A)

Abstract

Granular calcite is an authigenic mineral in fine-grained sedimentary rocks. Core observation, thin section observation, cathodoluminescence analysis, fluid inclusion analysis, scanning electron microscope (SEM), and isotopic composition analysis were combined to clarify the genesis of granular calcite in the lacustrine fine-grained sedimentary rocks of the Permian Lucaogou Formation in the Jimusar Sag, Junggar Basin. It is found that the granular calcite is distributed with laminated characteristics in fine-grained sedimentary rocks in tuffite zones (or the transitional zone between tuffite and micritic dolomite). Granular calcite has obvious cathodoluminesence band, and it can be divided into three stages. Stage-I calcite, with non-luminesence, high content of Sr element, inclusions containing COS, and homogenization temperature higher than 170 °C, was directly formed from the volcanic-hydrothermal deposition. Stage-II calcite, with bright yellow luminescence, high contents of Fe, Mn and Mg, enrichment of light rare earth elements (LREEs), and high homogenization temperature, was formed by recrystallization of calcareous edges from exhalative hydrothermal deposition. Stage-III calcite, with dark orange luminescence band, high contents of Mg, P, V and other elements, no obvious fractionation among LREEs, and low homogenization temperature, was originated from diagenetic transformation during burial. The granular calcite appears regularly in the vertical direction and its formation temperature decreases from the center to the margin of particles, providing direct evidences for volcanic-hydrothermal events during the deposition of the Lucaogou Formation. The volcanic-hydrothermal event was conducive to the enrichment of organic matters in fine-grained sedimentary rocks of the Lucaogrou Formation, and positive to the development of high-quality source rocks. The volcanic-hydrothermal sediments might generate intergranular pores/fractures during the evolution, creating conditions for the self-generation and self-storage of shale oil.

Cite this article

LI Ke , XI Kelai , CAO Yingchang , WANG Youcheng , LIN Miruo . Genesis of granular calcite in lacustrine fine-grained sedimentary rocks and its indication to volcanic-hydrothermal events: A case study of Permian Lucaogou Formation in Jimusar Sag, Junggar Basin, NW China[J]. Petroleum Exploration and Development, 2023 , 50(3) : 615 -627 . DOI: 10.1016/S1876-3804(23)60414-8

Introduction

As controlled by multiple factors, including provenance, climate, hydrodynamic conditions, tectono-sedimentary setting and events, the rock composition and deposition process of fine-grained sedimentary rock are always complicated [1-3]. In particular, the geologic events that occurred during the deposition of the fine-grained sediments exerted an important influence on the formation and enrichment of oil and gas, metals and other mineral resources [4-5]. Volcanic-hydrothermal activity is an important geological event for the formation of fine-grained sedimentary rocks. Its products can result in an abrupt change of geological environment, influencing the formation process and composition of fine-grained sedimentary rocks [2]. Also, the products may lead to biological extinction, anoxic and other events which affect the generation, preservation and evolution of organic matter and significantly control the development of high-quality source rocks [2,6], and may directly affect the geological mineralization to positively drive the development of high-quality reservoirs and the accumulation of hydrocarbons [6-7]. Various sedimentary records in the formation generated by volcanic-hydrothermal events, including abnormal changes of Sr, Ba, V and Eu contents, anomalies of C, O and S isotope compositions, and anomaly of magnetic susceptibility, occurrence of fluorite, pyrite, calcite, analcime and other special minerals, tuff and other sedimentary rocks of volcanic origin, and ball-and-pillow structure, all of which provide the theoretical support for the research on sediments of these events [6,8 -9]. The fine-grained sedimentary rocks originated from volcanic-hydrothermal activity are mainly the products from airfall deposition and subaqueous hydrothermal-volcanic eruption deposition [2]. Airfall deposition is controlled by the intensity and duration of volcanic eruption around the basin, forming widely distributed volcanic tuff in the formation [1-2]. Subaqueous hydrothermal-volcanic eruption deposition mainly occurs in the pulsatile eruption and effusive eruption, under the control of ejection and high pressure of thermal fluid [9]. Most of the products are intensively fractured and mixed with the sediments at the lake bottom to varying degrees, forming the fine-grained sediments with thin laminas well developed [9-10].
Volcanic materials are widespread in the fine-grained sedimentary rocks of the Permian Lucaogou Formation in the Jimusar Sag, Junggar Basin. However, no obvious crater has been found within this sag. Thus, it has been agreed by most studies that these volcanic materials are the products of airfall deposition, and this sag has been structurally stable and never experienced massive volcanic-hydrothermal activity [1,8]. However, some scholars reported that there were deep-source tuffaceous materials originated from volcanic eruption and exhalative hydrothermal deep-source materials developed in the Lucaogou Formation [9], and explained it as the result of multi-stage volcanic-hydrothermal activities in the lacustrine basin during the sedimentary period of the Lucaogou Formation, which allowed the participation of abundant deep-source materials in the deposition of fine-grained sedimentary rocks [10]. At present, the mainstream view is that the granular calcite developed in the fine-grained sedimentary rocks in the Lucaogou Formation, Jimusar Sag was formed from the evaporation or diagenesis process [1,8]. Some scholars have put forward the opinion that this type of calcite may be associated with the exhalative hydrothermal activity at the lake bottom [9-10]. However, most of the previous studies were based on the geochemical data obtained by whole-rock analysis, but rarely involved direct petrographic data and geochemical data obtained from in-situ micro analysis. Thus, there still exists a dispute on the existence of volcanic-hydrothermal activity in Jimusar Sag during the depositional period of the Lucaogou Formation, which restricts the understanding of shale oil development and formation in the area. In this paper, by integrating petrographic and geochemical analysis methods with high-precision observation and in-situ micro analysis, the genesis and formation mechanism of the granular calcite were clarified. The results provide a direct evidence for further understanding of volcanic-hydrothermal event deposition and have some reference significance to the study on formation of source rock and accumulation of shale oil in the Lucaogrou Formation.

1. Geological setting

The Jimusar Sag is a secondary sag located in the southwestern margin of the eastern uplift of the Junggar Basin. It is bounded by Jimusar fault, Santai fault, Xidi fault and Laozhuangwan fault to the north, south and west respectively, and transits as a gradually rising slope to the Guxi bulge in the east (Fig. 1a). The Jimusar Sag is generally developed in half-graben shape which is faulted in the west and overlapped in the east on the Carboniferous fold basement, and has relatively gentle structure with a formation dip of 3°-5° [1,8]. It has experienced multiple tectonic movements, including Hercynian movement, Indosinian Movement, Yanshan Movement and Himalayan movement that occurred successively [11]. The Hercynian period is considered as the major stage for its formation, when intense tectonic subsidence during the late Early Permian led to deposition started in the sag as an independent unit. With the intensifying faulting activities around the sag, Fukang fault in the south, Shaqi bulge in the north and Guxi bulge in the east were uplifted to different degrees, and the sag began to take shape in the late Permian. Influenced by the Indosinian-Yanshan movements, the Jimusar Sag and its surrounding structural units were subjected to different degrees of transformation. A slope higher in the east and lower in the west was formed in the Paleogene period, when the eastern part was generally uplifted higher than the western part. During the Himalayan period, the continued subduction of Bogurda Mountain in the south and intense uplifting of Fukang fault enabled the sag to uplift as a whole and form its present-day structural framework[11]. The Lucaogou Formation was deposited in the Hercynian period, when the Junggar Basin and its adjacent regions were dominantly in a tectonic setting of extensional rifting, resulting in frequent massive volcanic activities in the Jimusar lacustrine basin and its peripheral areas in a long time [12]. The strong volcanic activity provided abundant volcanic materials for the formation deposition, forming a set of fine-grained sediments composed of volcanic materials, endogen-ous carbonates and terrigenous clasts (Fig. 1b), containing multi-source components characterized with great complexity and variation in the vertical direction [1,11].
Fig. 1. Location and stratigraphic column of Jimusar Sag, Junggar Basin.

2. Methodology

The samples for this study were collected from cores of the Lucaogou Formation in the Jimusar Sag. Calcite was analyzed using a Zeiss polarizing microscope and a Cambridge CL8200 MK5 cathodeluminescence detector, and the calcite development stages were identified according to the luminescence colors. The formation temperatures for calcite of different stages were determined by using a THMS Linkam-600 heating-cooling stage. For the large inclusions (size greater than 8 μm) within calcite, the Renishaw in Via Laser Confocal Micro Raman Spectrometer with 532 nm laser as an excitation light source was applied to clarify their compositions. The grating period for laser beam was set as 5  μm, and the acquisition range was 100-4000 nm. Minerals identification was performed by a Zeiss Crossbeam 550 focused ion beam scanning electron microscope (FIB-SEM) equipped with an automated mineral identification and characterization system (AMICS). Combined with the element analysis carried out by a Bruker M4 Tornado high-performance micro area X-ray fluorescence spectrometer (XRF), the distributions of minerals and elements around the calcite were determined. On this basis, the genesis of calcite that shows good crystal morphology was ascertained by analyzing its in-situ elements and isotopic compositions by different stages. Measurements of the major, trace and rare earth elements in calcite and its associated minerals were conducted using a JEOLJXA-8230 electron probe microanalyzer, with a beam spot diameter of 1 μm, and a GeoLasPro 193 nm ArF excimer laser combined with an Agilent 7900 inductively coupled plasma mass spectrometry (ICP-MS), with a beam spot diameter of 32 μm. Sampling from the core of calcite was completed using the Bright MS-p120wh micro drill (bit size of 2 μm), and isotopic compositions for these samples were analyzed by the aid of a Thermal-Finnigan MAT 253 isotope ratio mass spectrometer. Finally, organic matters and oil-bearing property were analyzed using a VINCI Rock-Eval7 pyrolyzer with multistage pyrolysis technology.
Cathodeluminescence testing, temperature measurement of inclusions, XRF element analysis, SEM and AMICS analysis of minerals, micro-drill sampling, Raman spectral imaging and pyrolysis experiments were performed in the Key Laboratory of Deep Oil and Gas of China University of Petroleum (East China). Electron probe microanalysis was carried out in Ocean University of China, measurements of trace elements were conducted in State Key Laboratory of Mineral Deposit Geochemistry, Institute of Geochemistry of Chinese Academy of Sciences, and isotopic tests were performed in the State Key Laboratory of Oil and Gas Reservoir Geology and Exploitation, Chengdu University of Technology.

3. Results

3.1. Occurrence characteristics of granular calcite in fine-grained sedimentary rocks

The fine-grained sedimentary rocks of the Permian Lucaogou Formation in Jimusar Sag are composed of pyroclasts, terrigenous clasts and endogenous carbonates, and they are various in types vertically, such as dolomitic mudstone/tuff, limy mudstone, tuffaceous mudstone, micritic dolomite, silty dolomite, tuffaceous (argillaceous) dolomite, tuffite and etc. (Fig. 1b). This set of fine-grained sedimentary rocks, where cyclic development of granular calcite was observed (Fig. 2), shows laminated characteristics in distribution, with thickness of single layer of 1-15 mm (Fig. 3a). The surrounding rocks at the top and bottom are dominantly clay minerals and micritic dolomite, within which, quartz and feldspar particles in the shapes of sharp corner and chicken bone and with bay-like dissolution edge are commonly developed (Fig. 2). Vertically, the fine-grained sedimentary rocks that contain granular calcite were mainly developed in the first member of Lucaogou Formation (P2l1), concentrated in the black shale in the lower sweet spot, and rarely detected in the second member of Lucaogou Formation (P2l2). The dominant lithofacies of the lower sweet spot includes tuffite, dolomitic tuff, micritic dolomite, tuffaceous dolomite and siltstone (Fig. 2). Closely related to the volcanic material-enriched intervals, the granular calcite generally distributed in tuffite zones or the transitional zone between tuffite and micritic dolomite. Extraordinarily high contents of Sr, Ba, S, V and other elements that are related to volcanic-hydrothermal activity were found in zones where a large number of fine grained sedimentary rocks were developed (Fig. 2).
Fig. 2. Distribution of granular calcite of fine-grained sedimentary rocks of P2l1, Jimusar Sag.
Fig. 3. Development characteristics of granular calcite in fine-grained sedimentary rocks of Permian Lucaogou Formation in Jimusar Sag. (a) Core photos with granular calcite, Well Ji174, 3302.5 m; (b) Plane-polarized image of the yellow box in Fig. a, showing calcite grains in bed-parallel distribution; (c) Plane-polarized image of calcite grains showing subhedral rhombus-xenomorphic texture, Well Ji-174, 3302.5 m; (d) Plane-polarized image of saddle calcite, Well Ji-31, 2896.1 m; (e) Backscattered electron image showing types and features of the minerals around granular calcite, Well Ji-174, 3302.5 m; (f) AMICS scanning image of Fig. e, Well Ji-174, 3313.8 m; (g) Backscattered electron image of fluorine-containing minerals around granular calcite, Well Ji-174, 3302.5 m.
As observed under a microscope, the calcites exist with subhedral rhombus-allotriomorphic texture, and have large grain sizes in the range of 0.2-1.0 mm (Fig. 3a-3c). Multiple calcites may constitute a saddle aggregate (Fig. 3d). The results of AMICS analysis show that the calcites are mainly surrounded by illite, illite-smectite mixed layer and organic matter in layered distribution, and develop xenomorphic quartz, albite, micritic magnesium calcite, ankerite and other minerals rich in iron, silicon and magnesium, such as diopside and mica (Fig. 3e-3f). Calcite associated with pyrite, with silicon carbonate and fluorine-bearing minerals developed outside, is observed in some samples (Fig. 3f-3g).

3.2. Development stages of granular calcite in fine-grained sedimentary rocks

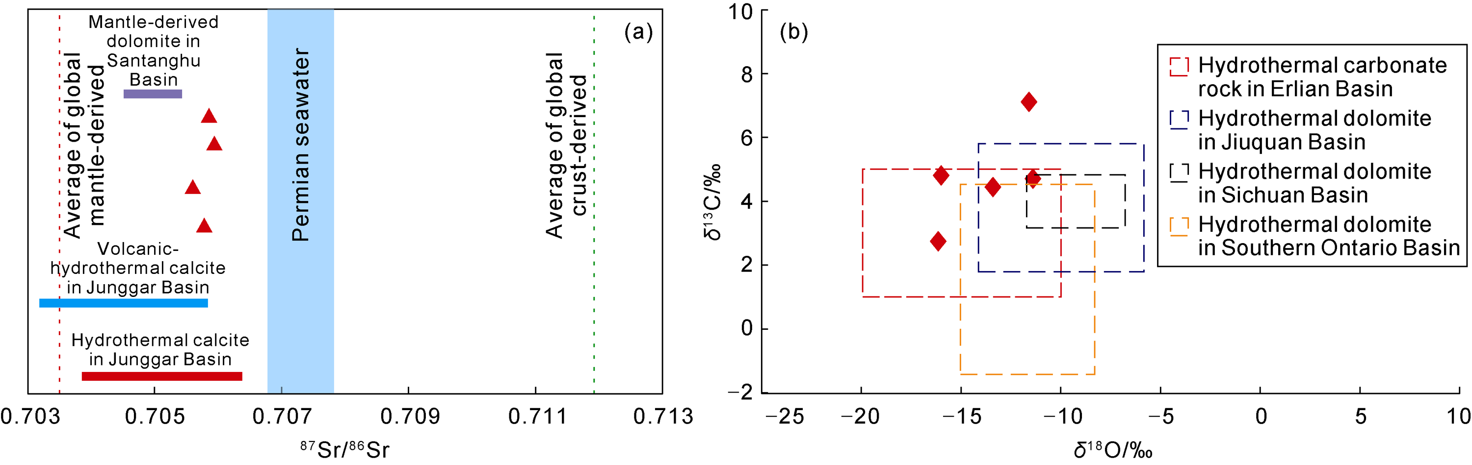
Cathodoluminescence (CL) images show that the calcite grains have obvious cathodoluminesence zone texture, and can be divided into at least three stages according to the characteristic luminescence colors, element characteristics and homogenization temperature of inclusions (Fig. 4a-4d). The core of calcite (Stage-I calcite) is bright white, and shows non-luminesence or very dark red colors, various shapes dominated by diamond and irregular polygon, and clear and straight boundaries (Fig. 4b, 4d). It is predominately composed of CaCO3, with a content higher than 99.2%, and contains few Al, Si and other elements. Among the trace elements, Sr exhibits the highest content (avg. 2.578 mg/g), while Fe, Mg and Mn are rare (less than 0.35 mg/g in total). The content of rare earth elements (REE) is low, with an average of 0.030 3 mg/g. The average values of LREE/HREE (the ratio of light to heavy rare earth elements) and (La/Sm)n (the ratio of lanthanide elements to samarium elements after normalization) are 0.9 and 1.11, showing a slight abundance of LREEs (Fig. 5). The value of 86Sr/87Sr ranges from 0.705 6 to 0.705 9, δ13C ranges between 2.73‰ and 7.10‰, with an average of 4.76‰, and δ18O varies from −16.14‰ to −11.40‰, with an average of −14.00‰. The measured data of fluid inclusions show that the homogenization temperature of inclusions in the core is higher than 170 °C, suggesting as an extraordinarily high temperature with great difference from normal formation temperature (Fig. 6a-6b).
Fig. 4. Characteristics of granular calcite of different stages in fine-grained sedimentary rocks of the Permian Lucaogou Formation, Jimusar Sag (Well Ji-174, 3302.5 m). (a) Plane-polarized image of granular calcite; (b) CL image with the same field of view as Fig. a, showing calcite characterized with CL zonal texture, which can be divided into three stages; (c) Plane-polarized image showing characteristics of three stages of calcite; (d) CL image with the same field of view as Fig. c, showing CL characteristics of three stages of calcite.
Fig. 5. Major and trace elements compositions of granular calcite in fine-grained sedimentary rocks of the Permian Lucaogou Formation in Jimusar Sag.
Fig. 6. Inclusions of granular calcite in fine-grained sedimentary rocks of the Permian Lucaogou Formation in Jimusar Sag. (a) Distribution of homogenization temperature of inclusions in granular calcite; (b) Homogenization temperatures of inclusions of calcite of different stages; (c) Location of the area selected for laser Raman spectroscopic analysis; (d) Laser Raman spectrum for the inclusion in Fig. c.
The inner zone of calcite (Stage-II calcite) has greyish white color and indistinct edges, contains a large amount of inclusions, and shows bright yellow luminescence (Fig. 4a-4d). It has significantly increased contents of Mg, Fe and Mn, with an average of 6.348 7 mg/g, and relatively high contents of Cu, Zn, As, Ni, Mo and other elements. The averages of total REEs content, LREE/HREE and (La/Sm)n are 0.133 8 mg/g, 2.7 and 3.6, suggesting LREE enrichment (Figs. 5 and 7a). The measured data of fluid inclusions show that the inner zone has generally lower homogenization temperature of inclusions than the core, varying from 110 °C to 170 °C, concentrated in the range of 140-170 °C, also suggesting an extraordinarily high temperature (Fig. 6a-6b).
The outer zone of calcite (Stage-III calcite) is relatively clean as shown in the plane-polarized image, and characterized by dark orange luminescence (Fig. 4c-4d). Most of its edges are unsmooth, and partially even hackly or embayed (Fig. 3g). This zone also has high contents of Mg, Fe and Mn (avg. 4.476 mg/g), which are slightly lower than the stage II calcite, and relatively high contents of Mg, P, V and other elements (Fig. 5). The averages of REEs content, LREE/HREE and (La/Sm)n are 0.137 5 mg/g, 0.75 and 1.03 respectively, suggesting LREE enrichment. The outer zone has lower homogenization temperature of inclusions, mainly ranging from 54 °C to 85 °C (Fig. 6b).

4. Discussion

4.1. Formation mechanism of granular calcite

4.1.1. The core of granular calcite is formed from deposition of calcareous mass precipitated by the hydrothermal exhalative process

The characteristics of various shapes, regular edge, extremely low content of Al, Si, Fe, Mg, and Mn/Sr lower than 2 indicate that the core of calcite (Stage-I) was formed in relatively pure carbonate-saturated fluid and underwent weak diagenetic reformation [13]. The REEs distribution pattern characterized by slight enrichment of LREEs, slight negative anomaly of Eu and slight positive anomaly of Ce (Fig. 7a-7b) reveals the characteristics of low temperature hydrothermal calcite [14-15]. Stage-I calcite has the high positive anomaly of Sr, with an average content of 2.636 1 mg/g (Fig. 7c), which is remarkably higher than that of carbonate formed in evaporative environment (Sr content of 0.5-0.7 mg/g) [16], marine carbonate (Sr content of 0.47-0.55 mg/g) [17], biological limestone (Sr content of avg. 0.8 mg/g) and carbonate formed from burial diagenetic process (generally less than 1 mg/g) [10,18]. In addition, 86Sr/87Sr ranges from 0.705 6 to 0.705 9, which is generally close to the values of the calcite influenced by volcanic-deep hydrothermal fluid and the dolomite influenced by mantle-derived hydrothermal fluid (Fig. 8) in the underlying Carboniferous volcanic rocks, indicating that the Sr-rich fluid was sourced from deep hydrothermal fluids [19-21]. The analysis results of micro-drill samples show that δ13C and δ18O of the core are generally greater than 2‰ and smaller than 10‰ respectively (Fig. 8b). In general, δ13C of the hydrothermal fluid derived from upper crust or mantle varies from −3‰ to 9‰, and δ18O of the carbonate rock formed by hydrothermal fluid is less than −10.0‰. This indicates that formation fluid of the calcite was derived from mantle or upper crust [22]. What is particularly noteworthy is that homogenization temperature of inclusions in the core is generally higher than 170 °C, which is far higher than the previously recovered highest temperature that the Permian Lucaogou Formation in Jimusar Sag has experienced [12]. Moreover, carbonyl sulfide (COS) was detected the inclusions in the core by laser Raman spectroscopy, and the characteristic peak of laser Raman spectrogram occurred at 860 nm (Fig. 6c-6d). It has been known that COS is transported to the earth's surface by gases spewed out from volcano [23], which further supports that the core of granular calcite was formed from deposition of the carbonate mass brought out by volcanic-exhalative hydrothermal activity at the lake bottom.
Fig. 7. Elemental composition of granular calcite in fine-grained sedimentary rocks of the Permian Lucaogou Formation in Jimusar Sag. (a) REEs distribution pattern of granular calcite, the data of chondrite from Ref. [27]; (b) Anomaly characteristics of Ce and Eu in granular calcite; (c) Sr anomaly and Mn/Sr characteristic in granular calcite; (d) Pr/Yb-Fe diagram of granular calcite; (e) Relationship between Mn and total REEs content of granular calcite; (f) Relationship between Mg and total REEs content of granular calcite.
Fig. 8. Distribution of isotopes in granular calcite in fine-grained sedimentary rocks of the Permian Lucaogou Formation in Jimusar Sag. (a) Distribution of Sr isotopes in granular calcite, data from Refs. [19-21]; (b) Distribution of C and O isotopes in granular calcite, the base map modified from Ref. [22].

4.1.2. The inner zone of granular calcite is formed from recrystallization of micritic calcium precipitated by the hydrothermal exhalative process

The homogenization temperature of inclusions in the inner zone of calcite (Stage-II) is concentrated in the range of 140-170 °C. Although lower than the formation temperature of the core, it is still generally higher than the normal formation temperature, indicating extraordinarily high temperature as another factor influencing the formation of the inner zone (Fig. 6a-6b). The results of thin section observation show that the core (Stage-I) always has micritic calcite rim, fine grain size and dirty surface (Fig. 9a-9b), which is resulted from adhesion of the calcareous materials brought out by the hydrothermal exhalative processes to the carbonate mass. After deposited at the lake bottom, these micritic carbonate minerals were prone to recrystallization under the continuing high temperature provided by the volcanic-hydrothermal activity [24-25]. Micritic calcite was distinctly observed in the intergranular pores within some incompletely crystallized granular calcite and the surrounding matrix (Fig. 9c-9f), indicating the existence of recrystallization process. As Sr is prone to be eliminated from carbonate mineral in its recrystallization process [26], the significantly declined anomaly of Sr and increased Mn/Sr value in the inner zone also support the recrystallization of micritic calcite. Different from the core, the inner zone has generally increased contents of Fe, Mn, Mg, Si, Cu, Zn, V and As (Figs. 5, 7e-7f). The results of μ-XRF scanning show that the surrounding dark matrix of calcite grain is abundant in the corresponding elements (Fig. 10), which indicates the influence of the surrounding matrix on the formation of the inner zone. In the CL images, Stage-III calcite shows dark orange luminescence (Fig. 9b), owing to the mixture of Fe, Mn and other elements in the surrounding matrix. Moreover, good correlations between Fe and Pr/Yb, Mg and total REEs content, Mn and total REEs content are observed (Fig. 7d-7e), suggesting that the total REEs content increases with the increase of Fe content in the inner zone of calcite. The particularly remarkable increase of LREE (Fig. 7a) is associated with the REEs redistribution during the recrystallization process of calcite as the result of the increased contents of Fe, Mg and Mn in diagenetic fluid [28].
Fig. 9. Characteristics of calcite-containing sedimentary rocks of the Permian Lucaogou Formation in Jimusar Sag. (a) Plane-polarized image of massive calcite, Well Ji-31, 2896.1 m; (b) CL image with the same field of view as that in Fig. a, showing calcite mass composed of non-luminescence core and dark red luminescence rim, and recrystallized part characterized with bright yellow luminescence, Well Ji-31, 2896.1 m; (c) Backscattered electron image of micritic calcite in incompletely crystallized calcite, Well Ji-174, 3302.5 m; (d) Enlarged backscattered electron image of the red box in Fig. c, Well Ji-174, 3302.5 m; (e) Backscattered electron image of showing micritic calcite in matrix, Well Ji-174, 3302.5 m; (f) Backscattered electron image, showing micritic calcite composing the rim of granular calcite, Well Ji-174, 3302.5 m.
Fig. 10. Element distribution of granular calcite-containing sedimentary rocks of the Permian Lucaogou Formation in Jimusar Sag. (a) SEM image of core sample, Well Ji-251, 3768.8 m; (b)-(i) Distribution of Ca, Mg, Cu, Zn, V, Mn, Fe and As illustrated in Fig. a, showing dark matrix surrounding calcite rich in corresponding elements.

4.1.3. The outer zone of granular calcite is formed from the post-depositional burial diagenetic process

The outer zone of calcite (Stage-III), with the homogenization temperature of inclusions in the range of 54-85 °C, shows significantly different characteristics from the core and inner zone (Fig. 6a-6b), and is formed diagenetically from fine-grained sediments during the burial process. AMICS analysis reveals that the granular calcite is surrounded by widely distributed Mg-rich micritic calcite (Figs. 3e-3f and 9e). During the burial process, the micritic calcite was prone to recrystallization as exposed to organic acid [29], and evolution into the calcite with better crystal morphology. It is also observed that the micritic calcite grows around the granular calcite, forming the irregular edge of outer zone (Fig. 9f). In addition, the relative high abundance of Mg in the outer zone (Fig. 5) also suggests that recrystallization of the micritic calcite is a contributor to its formation. The high Mn/Sr value, low anomaly of Sr, high contents of Fe, Mn and Mg, and high total REEs content (Fig. 7c-7f) also support recrystallization of the micritic calcite. The outer zone is also rich in the corresponding elements contained in the matrix, and excellent correlations is also observed between Fe and Pr/Yb contents, Mg and total REEs contents, Mn and total REEs contents (Fig. 7d-7f), indicating an influence of the surrounding matrix on its forming process. A massive amount of illite-smectite mixed layer and illite are developed around the calcite grains (Fig. 3). In the process of illitization, Mg2+, Fe2+ and a large amount of adsorbed cation would be released into the pore fluid [29] and mixed into the outer zone. Previous experiments have shown that the calcite that grows under appropriate conditions tends to form similar growth zones [30].

4.2. Indication of granular calcite to volcanic-hydrothermal activity

The granular calcite was widespread in the fine-grained sedimentary rocks in the lower Lucaogou Formation, and formed multiple cycles with tuffite and micritic dolomite (Fig. 2). Different from the carbonates formed by diagenesis during the burial process, granular calcite exhibits a formation temperature decreasing from the core to the margin, which provides a direct evidence for volcanic-hydrothermal events during the sedimentary period of the fine-grained sedimentary rocks in the Lucaogou Formation. Under the regional tectonic setting of extensional rifting, volcanic-magmatic activity occurred violently in the Junggar Basin and its neighboring areas during the end of Late Carboniferous-Early-Middle Permian period [12], fault systems were developed in the underlying strata of the Lucaogou Formation in the Jimusar Sag as the joint result of the compressional stress that dominated the basin and the extensional stress that dominated the central part of the sag [31]. During the sedimentary period of the Lucaogou Formation, these fault systems connected the heat source from deep magma, allowing for the convective circulation of hydrothermal fluid and lake water along basement faults of the lacustrinebasin [9]. When the hot water was saturated with calcium carbonate, calcite mass would be precipitated. The carbonate masses (Stage-I calcite) were migrated upwards by upwelling hydrothermal fluid along the fault to the surface (Fig. 11a-11b), and scattered in sediments at the lake bottom by the exhalative hydrothermal process [9]. The generated massive amount of micritic carbonates adhered around the carbonate masses, and underwent recrystallization after deposited at the lake bottom under the influence of the residual heat (Fig. 11c), forming the inner zone (Stage-II calcite) by capturing Si, Mg, Fe, Mn, Cu, Zn, V, As and other elements from the surrounding sediments. The outer zone (Stage-III calcite) was formed from the surrounding micritic calcite after experiencing recrystallization around the inner zone under the action of organic acids and illitization (Fig. 11d). The existence of granular calcite provides direct evidences for volcanic-hydrothermal events during the sedimentary period of the Lucaogou Formation. The hydrothermal activity also influenced mineral composition of the sedimentary rock, and generated pyrite, fluorine-containing minerals, carbonate silicon and other low-temperature hydrothermal minerals (Fig. 3e-3f). The granular calcite arises in the vertical direction regularly, suggesting the cyclicity of volcanic-hydrothermal activity during the deposition of the fine-grained sedimentary rocks in the Lucaogou Formation. It is of great significance on the generation of shale oil.
Fig. 11. Formation process of granular calcite in fine-grained sedimentary rocks of Permian Lucaogou Formation in Jimusar Sag. C2b—Carboniferous Batamayineishan Fm.; P2j—Permian Jingjingzigou Fm.; P2l—Permian Lucaogou Fm.; P3wt—Permian Wutonggou Fm.;T-N—Triassic-Neogene.

4.3. Implications of volcanic-hydrothermal activity to accumulation of shale oil

During the sedimentary period of the Lucaogou Formation in Jimusar Sag, the volcanic-hydrothermal activity formed multiple intervals of sedimentary rocks composed of granular calcite and volcanic materials. The sedimentary rocks are mainly distributed in P2l1, especially the black shale in the lower sweet spot (Fig. 2). The TOC value of the fine-grained sedimentary rocks in Well Ji-174, ranging from 0.53% to 11.63%, shows strong heterogeneity in vertical direction. In the granular calcite-containing rocks, the TOC values are commonly extraordinarily high, and present the same variation trend as the calcite content (Table 2), suggesting an obvious influence of volcanic-exhalative hydrothermal materials on organic matter enrichment in the Lucaogou Formation. Studies have shown that the abundant nutrient elements and heat carried by hydrothermal fluid at the lake bottom could create a suitable environment for algae and other aquatic organisms to flourish, through convection circulation of bottom water and upper water, thus improving the original productivity. Also, the oxygen-deficient environment generated by hydrothermal activity is also conducive to the preservation of organic matter [2,6,8]. These sedimentary rocks, where the organic matters (mainly Type I) occur in continuous laminated distribution (Fig. 12a-12b) are dominantly composed by algal and characterized by yellowish-white fluorescence colors, are favorable source rocks in the study area. Therefore, the volcanic-hydrothermal activity in the Lucaogou Formation in the study area has a positive effect on organic matter enrichment, and is conducive to the formation of high-quality source rocks.
Fig. 12. Characteristics of reservoir space in fine-grained sedimentary rocks of the Permian Lucaogou Formation in Jimusar Sag. (a) Plane-polarized image of sedimentary rock with granular calcite, showing the characteristics of organic matters and microfractures, Well Ji-174, 3305.9 m; (b) CL image with the same field of view as that in Fig. a, showing organic matters present yellowish white luminescence, Well Ji-174, 3305.9 m; (c) Plane-polarized image of feldspar dissolved pores in tuffite, Well Ji-174, 3306.9 m; (d) Plane-polarized image of feldspar dissolved pores in dolomitic tuffite, Well Ji-174, 3305.6 m; (e) Backscattered electron image of intergranular pores of clay minerals in tuffite, Well Ji-174, 3313.8 m; (f) Backscattered electron image of intergranular pores in micritic dolomite, Well Ji-174, 3296.5 m; (g) Backscattered electron image of intergranular pores of pyrite in tuffite, Well Ji-174, 3313.8 m; (h) Plane-polarized image of calcite intergranular pores filled by hydrocarbons, Well Ji-174, 3313.8 m; (i) Backscattered electron image of calcite intergranular pores filled by hydrocarbons, Well Ji-174, 3313.8 m.
The fine-grained sedimentary rocks in the lower sweet spot in the Lucaogou Formation are mainly composed of tuffite, dolomitic tuff, micritic dolomite and tuffaceous dolomite that are vertically superimposed (Fig. 2), where the reservoir space mainly includes microfractures, aluminosilicate dissolved pores, intergranular pores of clay minerals, pyrite, dolomite and calcite (Fig. 12). In the intervals without granular calcite, the reservoir space is underdeveloped, except for a small amount of dissolved pores and mineral intergranular pores (Fig. 12c-12g), which are generally nanoscale to micronscale. In the intervals with granular calcite, intergranular pores of calcite and microfractures are commonly developed. The intergranular pores are generally large (nanoscale to micronscale) and filled by hydrocarbons (Fig. 12h-12i). The micron-size fractures generally occur between granular calcite and plastic mineral grains, where crude oil occurrence is also observed (Fig. 12b), and act as the effective reservoir space in the Lucaogou Formation shale. The granular calcite formed by volcanic-hydrothermal activity during the deposition of the Lucaogou Formation presents high instability due to lattice imperfection [32], where intergranular pores are prone to develop in the process of recrystallization (Fig. 12i). Moreover, the existence of calcite increases the reservoir brittleness, and fractures tend to develop between the granular calcite and plastic minerals, thus facilitating the formation of effective reservoirs. In the study area, shale oil content is relatively high in these rocks, ranging from 13.0 mg/g to 25.9 mg/g, with an average of 14.21 mg/g. In conclusion, the volcanic- hydrothermal activity during the sedimentary period of the Lucaogou Formation in the Jimusar Sag is conductive to the enrichment of organic matter in the fine-grained sedimentary rocks, and the volcanic-exhalative hydrothermal sediments might generate intergranular pores and microfractures during the burial process, creating favorable conditions for the self-generation and self-storage of shale oil. The intervals with granular calcite in the lower sweet spot of the Lucaogou Formation are determined as the favorable zones for shale oil enrichment.

5. Conclusions

The granular calcite in fine-grained sedimentary rocks of the Permian Lucaogou Formation in Jimusar Sag is the result of combined effect from volcanic-hydrothermal events during the sedimentary period of the Lucaogou Formation and diagenetic transformation during the burial. Stage-I calcite (core) was directly formed from the volcanic-exhalative hydrothermal deposition of calcite mass at the lake bottom. Stage-II calcite (inner zone) was formed by recrystallization of micritic calcareous materials from exhalative hydrothermal zone under the continuous high temperature. Stage-III calcite (outer zone) was originated from diagenetic transformation during burial process.
The different stages of granular calcite provide direct petrologic evidences for volcanic-hydrothermal events during the sedimentary period of the Lucaogou Formation, and its cyclicity in the vertical direction indicates the effect of frequent volcanic-hydrothermal events. The fine-grained sedimentary rocks are a result of volcanic-hydrothermal events in multiple stages.
The volcanic-hydrothermal activity during the sedimentary period was conducive to the enrichment of organic matters in fine-grained sedimentary rocks of the Lucaogrou Formation and positive to the development of high-quality source rocks. The volcanic-hydrothermal sediments might generate intergranular pores and microfractures during the evolution, creating conditions for the self-generation and self-storage of shale oil. The intervals with granular calcite in the lower sweet spot of the Lucaogou Formation are determined as the favorable zones for shale oil enrichment.
[1]
JIANG Zaixing, KONG Xiangxin, YANG Yepeng, et al. Multi-source genesis of continental carbonate-rich fine- grained sedimentary rocks and hydrocarbon sweet spots. Petroleum Exploration and Development, 2021, 48(1): 26-37.

[2]
HU Suyun, BAI Bin, TAO Shizhen, et al. Heterogeneous geological conditions and differential enrichment of medium and high maturity continental shale oil in China. Petroleum Exploration and Development, 2022, 49(2): 224-237.

[3]
PENG Jun, ZENG Yao, YANG Yiming, et al. Discussion on classification and naming scheme of fine-grained sedimentary rocks. Petroleum Exploration and Development, 2022, 49(1): 106-115.

[4]
WANG Pengwan, ZOU Chen, LI Xianjing, et al. Geochemical characteristics of element Qiongzhusi Group in Dianqianbei area and paleoenvironmental significance. Journal of China University of Petroleum (Edition of Natural Science), 2021, 45(2): 51-62.

[5]
OHKOUCHI N, KURODA J, TAIRA A. The origin of Cretaceous black shales: A change in the surface ocean ecosystem and its triggers. Proceedings of the Japan Academy, Series B, 2015, 91(7): 273-291.

[6]
QIU Zhen, ZOU Caineng. Unconventional petroleum sedimentology: Connotation and prospect. Acta Sedimentologica Sinica, 2020, 38(1): 1-29.

[7]
LI T J, HUANG Z L, CHEN X, et al. Paleoenvironment and organic matter enrichment of the Carboniferous volcanic-related source rocks in the Malang Sag, Santanghu Basin, NW China. Petroleum Science, 2021, 18(1): 29-53.

DOI

[8]
WU H G, HU W X, TANG Y, et al. The impact of organic fluids on the carbon isotopic compositions of carbonate-rich reservoirs: Case study of the Lucaogou Formation in the Jimusaer Sag, Junggar Basin, NW China. Marine and Petroleum Geology, 2017, 85: 136-150.

DOI

[9]
LIU Yiqun, ZHOU Dingwu, NAN Yun, et al. Permian mantle-derived carbonatite originated exhalative sedimentary rocks in North Xinjiang. Journal of Palaeogeography, 2018, 20(1): 49-63.

[10]
LI H, LIU Y Q, YANG K, et al. Hydrothermal mineral assemblages of calcite and dolomite-analcime-pyrite in Permian lacustrine Lucaogou mudstones, eastern Junggar Basin, Northwest China. Mineralogy and Petrology, 2021, 115(1): 63-85.

DOI

[11]
CAO Z, LIU G D, XIANG B L, et al. Geochemical characteristics of crude oil from a tight oil reservoir in the Lucaogou Formation, Jimusar sag, Junggar Basin. AAPG Bulletin, 2017, 101(1): 39-72.

DOI

[12]
MAO Xiang, LI Jianghai, ZHANG Huatian, et al. Study on the distribution and developmental environment of the Late Paleozoic volcanoes in Junggar Basin and its adjacent areas. Acta Petrologica Sinica, 2012, 28(8): 2381-2391.

[13]
KUZNETSOV A B, KRUPENIN M T, OVCHINNIKOVA G V, et al. Diagenesis of carbonate and siderite deposits of the Lower Riphean Bakal Formation, the southern Urals: Sr isotopic characteristics and Pb-Pb age. Lithology and Mineral Resources, 2005, 40(3): 195-215.

DOI

[14]
LIU Jinkang, DENG Mingguo, MAO Zhengli, et al. Characteristics and indication of carbon-oxygen isotopes and rare earth elements of hydrothermal calcite from the Mengxing Pb-Zn deposit, western Yunnan. Geology and Exploration, 2021, 57(4): 852-864.

[15]
ABEDINI A, CALAGARI A A, NASERI H, Mineralization and REE geochemistry of hydrothermal quartz and calcite of the Helmesi vein-type copper deposit, NW Iran. Neues Jahrbuch für Geologie und Paläontologie-Abhandlungen, 2016, 281(2): 123-134.

DOI

[16]
ALIPOUR S, MOSAVI ONLAGHI K. Mineralogy and geochemistry of major, trace and rare earth elements in sediments of the Hypersaline Urmia Salt Lake, Iran. Acta Geologica Sinica (English Edition), 2018, 92(4): 1384-1395.

DOI

[17]
HUANG Sijing, QING Hairuo, HUANG Peipei, et al. Evolution of strontium isotopic composition of seawater from Late Permian to Early Triassic based on study of marine carbonates, Zhongliang Mountain, Chongqing, China. SCIENCE CHINA Earth Sciences, 2008, 51(4): 528-539.

DOI

[18]
CORROCHANO D, ARMENTEROS I. Diagenesis of Pennsylvanian phylloid algal mounds from the southern Cantabrian Zone (Spain). Arabian Journal of Geosciences, 2017, 10(1): 20.

DOI

[19]
JIAO X, LIU Y Q, YANG W, et al. Microcrystalline dolomite in a Middle Permian volcanic lake: Insights on primary dolomite formation in a non-evaporitic environment. Sedimentology, 2023, 70(1): 48-77.

DOI

[20]
LIU Yong, YUAN Haifeng, GAO Yao, et al. Genetic mechanism of calcite veins in Carboniferous-Permian volcanic reservoirs in the Hashan area, Junggar Basin and its petroleum geological significance. Acta Geologica Sinica, 2017, 91(11): 2573-2583.

[21]
CAO Jian, HU Wenxuan, YAO Suping, et al. Carbon, oxygen and strontium isotope composition of calcite veins in the carboniferous to Permian source sequences of the Junggar Basin: Implications on petroleum fluid migration. Acta Sedimentologica Sinica, 2007, 25(5): 722-729.

[22]
YANG Z, ZHONG D K, WHITAKER F, et al. Syn-sedimentary hydrothermal dolomites in a lacustrine rift basin: Petrographic and geochemical evidence from the Lower Cretaceous Erlian Basin, northern China. Sedimentology, 2020, 67(1): 305-329.

DOI

[23]
MIßBACH H, DUDA J P, VAN DEN KERKHOF A M, et al. Ingredients for microbial life preserved in 3.5 billion-year-old fluid inclusions. Nature Communications, 2021, 12(1): 1101.

DOI PMID

[24]
ZHANG Chengyong, NIE Fengjun, HOU Shuren, et al. Study on hydrothermal alteration and relation with uranium mineralization of the Tamusu exogenetic uranium deposit, Inner Mongolia, China. Acta Mineralogica Sinica, 2015, 35(1): 79-86.

[25]
MALONE M J, BAKER P A, BURNS S J. Recrystallization of dolomite: An experimental study from. Geochimica et Cosmochimica Acta, 1996, 60(12): 2189-2207.

DOI

[26]
FANTLE M S. Calcium isotopic evidence for rapid recrystallization of bulk marine carbonates and implications for geochemical proxies. Geochimica et Cosmochimica Acta, 2015, 148: 378-401.

DOI

[27]
SUN S S, MCDONOUGH W F. Chemical and isotopic systematics of oceanic basalts: Implications for mantle composition and processes. Geological Society, London, Special Publications, 1989, 42(1): 313-345.

DOI

[28]
DENG Yi'nan, REN Jiangbo, GUO Qingjun, et al. Geochemistry characteristics of REY-rich sediment from deep sea in Western Pacific, and their indicative significance. Acta Petrologica Sinica, 2018, 34(3): 733-747.

[29]
LIANG C, CAO Y C, LIU K Y, et al. Diagenetic variation at the lamina scale in lacustrine organic-rich shales: Implications for hydrocarbon migration and accumulation. Geochimica et Cosmochimica Acta, 2018, 229: 112-128.

DOI

[30]
SHAUN L L, BARKER, COX S F. Oscillatory zoning and trace element incorporation in hydrothermal minerals: Insights from calcite growth experiments. Geofluids, 2011, 11(1): 48-56.

DOI

[31]
ZHI Dongming, LI Jianzhong, ZHANG Wei, et al. Exploration breakthrough and its significance of Jingjingzigou Formation in Shuangji tectonic zone of Jimsar sag in Junggar Basin. Acta Petrolei Sinica, 2022, 43(10): 1383-1394.

DOI

[32]
NADER F H, SWENNEN R, KEPPENS E. Calcitization/ dedolomitization of Jurassic dolostones (Lebanon): Results from petrographic and sequential geochemical analyses. Sedimentology, 2008, 55(5): 1467-1485.

DOI

Outlines

/