Accumulation and exploration enlightenment of shallow normal-pressure shale gas in southeastern Sichuan Basin, SW China

  • YUN Lu , *
Expand
  • Sinopec East China Oil & Gas Company, Nanjing 210019, China

Received date: 2023-07-14

  Revised date: 2023-10-20

  Online published: 2023-12-28

Supported by

Sinopec Scientific Research Project(P21087-6)

Abstract

Based on the drilling, logging, experimental and testing data of Well PD1, a shallow normal-pressure shale gas well in the Laochangping anticline in southeastern Sichuan Basin, the shallow shale gas reservoirs of the Ordovician Wufeng Formation to Silurian Longmaxi Formation (Wufeng-Longmaxi) were investigated in terms of geological characteristics, occurrence mechanism, and adsorption-desorption characteristics, to reveal the enrichment laws and high-yield mechanism of shallow normal-pressure shale gas in complex structure areas. First, the shallow shale gas reservoirs are similar to the medium-deep shale gas reservoirs in static indicators such as high-quality shale thickness, geochemistry, physical properties and mineral composition, but the former is geologically characterized by low formation pressure coefficient, low gas content, high proportion of adsorbed gas, low in-situ stress, and big difference between principal stresses. Second, shallow shales in the complex structure areas have the gas occurrence characteristics including low total gas content (1.1-4.8 m3/t), high adsorbed gas content (2.5-2.8 m3/t), low sensitive desorption pressure (1.7-2.5 MPa), and good self-sealing. Third, the adsorbed gas enrichment of shales is mainly controlled by organic matter abundance, formation temperature and formation pressure: the higher the organic matter abundance and formation pressure, the lower the formation temperature and the higher the adsorption capacity, which is more beneficial for the adsorbed gas occurrence. Fourth, the shallow normal-pressure shale gas corresponds to low sensitive desorption pressure. The adsorbed gas can be rapidly desorbed and recovered when the flowing pressure is reduced below the sensitive desorption pressure. Fifth, the exploration breakthrough of Well PD1 demonstrates that the shallow complex structure areas with adsorbed gas in dominance can form large-scale shale reservoirs, and confirms the good exploration potential of shallow normal-pressure shale gas in the margin of the Sichuan Basin.

Cite this article

YUN Lu . Accumulation and exploration enlightenment of shallow normal-pressure shale gas in southeastern Sichuan Basin, SW China[J]. Petroleum Exploration and Development, 2023 , 50(6) : 1308 -1319 . DOI: 10.1016/S1876-3804(24)60468-4

Introduction

Based on shale depth, the shale gas of Ordovician Wufeng Formation to Silurian Longmaxi Formation (Wufeng-Longmaxi) in the Sichuan Basin and its periphery can be classified into three types: shallow shale gas (burial depth less than 2000 m), medium-deep shale gas (2000-3500 m), and deep-ultra-deep shale gas (greater than 3500 m). Medium-deep shale gas has been developed commercially, with several large-scale shale gas fields successively discovered, such as Fuling, Changning and Weiyuan [1-7]. Deep-ultra-deep shale gas has witnessed significant breakthrough in the areas of Luzhou-Dazu, Weiyuan-Rongxian and Qijiang, and it is gradually stepping into the stage of commercial development [1,3,8 -9]. Shallow shale gas is widely distributed in the complex structure areas outside the basin, with the resources of about 26×1012 m3, presenting a promising exploration and development prospect [10-14], so it is expected to be an important field for reserves and production increase in the following stage. At present, however, the exploration and development of shallow shale gas in China is still in the initial stage. The China National Petroleum Corporation (CNPC) discovered Taiyang shallow shale gas field in the southern Sichuan Basin [10-13], where the shale depth is 500-2000 m, the pressure coefficient is 1.2-1.6, and the booked quantity of proved reserves is more than 2000×108 m3, marking a breakthrough in the exploration of shallow high-pressure shale gas. There are about 50 shallow shale gas wells in the Sichuan Basin and its periphery, most of which encountered shale reservoirs with good gas-bearing property, revealing a great exploration potential of shallow shale gas [10-14].
Recently, Sinopec East China Oil & Gas Company drilled Well PD1 in the Laochangping anticline, southeastern Chongqing area, which revealed a satisfactory potential of shale gas, and later drilled Well PD1HF on the same platform, which achieved a daily production of (4.4-4.6)×104 m3 during well test, marking significant breakthrough in the exploration of shallow normal- pressure shale gas. This well is located in the residual anticline where the target interval is denuded extensively, shale gas is poorly preserved, the pressure coefficient is only 0.99, a large amount of free gas has escaped, the total gas content is low, and adsorbed gas is dominant (80.3%), so adsorbed gas is the main production object, which is obviously different from the shallow high-pressure shale gas of Taiyang shale gas field and the medium-ultra-deep shale gas that are produced mainly in the form of free gas. Shallow normal-pressure shale gas mainly exists on the particle surfaces, where gas mobility is weak, resource quality is poor, and formation pressure coefficient and desorption pressure are low, which bring challenges to its beneficial exploration and development. For example, its occurrence mechanisms and adsorption/desorption laws have not been understood clearly, and the specific technique of gas recovery by drainage has not been developed.
Based on the discovery of Well PD1, this paper analyzes the drilling, logging, core experiment and production test data in the southeastern Sichuan Basin and its periphery to understand the geological characteristics, occurrence mechanisms and adsorption/desorption laws of shallow shale gas reservoirs and discuss the enrichment laws and high-yield mechanisms of shallow normal-pressure shale gas in the complex structure areas. The results provide a reference for the exploration and development of shale gas in the complex structure areas outside the basin.

1. Geology of the study area and shallow shale gas

The Laochangping anticline is geographically located in Wulong District of Chongqing and structurally lies in the Wuling fold zone of southeastern Sichuan Basin. This NE-trending structure is isolated from the Sichuan Basin on the north by a NE fault, closely adjacent to the Wandi syncline on the east, connected with the Wulong syncline on the south, and contiguous to the Baima syncline on the west (Fig. 1). From the late stage of Late Ordovician to the early stage of Early Silurian, this area was in the sedimentary facies belt of semi-deep to deep shelf [15-18], where the organic-rich and graptolite-rich black shale of Wufeng Formation to the first member of Longmaxi Formation (Wufeng-Long 1 Member) was deposited with the maximum thickness of 100 m. Typically, the high-quality shale of deep shelf facies with TOC greater than 2% is mainly distributed at the bottom of the interval, with thickness of 30-35 m, TOC of 3.5%-4.5%, Ro of 2.2%-2.5%, and porosity of 4.5%-5.5%, and its shale gas generation and reservoir conditions are equivalent to those in the main shale gas fields of the Sichuan Basin. After getting deposited, the shale was reworked by multiple stages of tectonic movements, among which, the Yanshanian-Himalayan tectonic movement had the strongest influence. During the early Yanshanian, several NE structures (e.g. Laochangping anticline, Wulong syncline and Shizhu syncline) were formed by compressional deformation under the control of Xuefeng orogeny, and constituted the “trough-barrier” transitional structure pattern. During the late Yanshanian, NS faults and folds were formed under the effect of transpressional strike-slip. Since the Himalayan, the area had been uplifted and folded, making the target interval extensively denuded. At the core of the anticline, the Sinian-Silurian is exposed, the Upper Permian and the strata above are denuded completely, the formation dip is 0-10o, and the burial depth of Wufeng Formation shale is 0-1200 m. At two flanks of the anticline, the Silurian-Upper Permian is exposed, the formation dip is 10o-25o, and the burial depth of Wufeng Formation shale is 1200-2000 m. The faults in this area are mainly third- and fourth-order faults with extension of 22.7-56.7 m and throw of 800- 2000 m, and they run vertically through the Cambrian to the surface to cut the Laochangping anticline into complex structures (Fig. 2). On the whole, there are good conditions for the formation of shale gas in the Laochangping anticline, but the overall preservation conditions are poor, since the shale is serious denudated and shallowly buried with developed faults as a result of large-amplitude uplift and fold due to later strong reworking process.
Fig. 1. Geological and structural distribution and stratigraphic column in southeastern Chongqing area.
Fig. 2. Bottom structure of Wufeng Formation in Laochangping anticline.

2. Geological characteristics of shallow shale gas reservoirs

2.1. Static indicators of shallow shale gas reservoirs are good

In the period from the late stage of Late Ordovician to the early stage of Early Silurian, the Laochangping anticline stayed in the slope area of southern deep shelf, where the thickness of Wufeng-Long 1 Member shale and the thickness of high-quality shale are basically equivalent to that of medium-deep shale (Fig. 3, Table 1). The TOC measurement for Well PD1 shows that the TOC of high-quality shale ranges from 1.3% to 6.4%, averaging 4.15%. The samples with TOC greater than 4% account for 62.5%, and their continuous thickness is up to 25 m. Abundant organic matters are favorable for the generation, adsorption and accumulation of shale gas. Ro ranges from 2.15% to 2.45%, averaging 2.28%, which indicates the overmature stage. Kerogen carbon isotope (δ13C) is in the range of -30.59‰ to -29.00‰, indicating that the organic matter is mainly type I and has great hydrocarbon generation potential.
Fig. 3. Composite stratigraphic column of Wufeng Formation to layers ①-⑥ of Long 1 Member in Well PD1. GR—natural gamma ray.
Table 1. Comparison of static indicators of shallow shale between Laochangping anticline and its neighboring areas
Structure Sedimentary characteristics Geochemical characteristics Reservoir physical properties Mineral composition
High-quality shale thickness/m TOC/
%
Ro/% Porosity/
%
Average pore
diameter/nm
Specific surface
area/(m2·g-1)
Quartz/
%
Carbonate
mineral/%
Clay
mineral/%
Brittle
mineral/%
Laochangping anticline 33.0 4.15 2.28 5.27 3.96 28.6 54.9 7.6 24.1 71.5
Taiyang
anticline
35.0 3.26 1.77 6.45 39.2 25.3 25.9 70.3
Pingqiao anticline 34.8 3.34 2.12 3.68 3.58 20.7 50.1 6.1 32.4 67.4
Jiaoshiba anticline 38.0 3.90 2.65 4.70 44.9 7.9 34.0 61.0
Wulong
syncline
32.0 4.49 2.51 4.36 3.79 23.2 57.1 6.6 20.9 72.0
Daozhen syncline 31.0 3.27 2.55 4.06 48.3 8.2 32.3 61.5
The shallow shale gas in the Laochangping anticline corresponds to good reservoir physical properties. Argon ion polishing scanning electron microscope shows that micro-nano pores with complex structures are developed in the high-quality shale and the reservoir space is dominated by organic pores, which are round or subround with diameter generally between 5 nm and 100 nm. The presence of organic pores provides sufficient storage space for shale gas and also extensive specific surface area for gas adsorption. Rock specific surface and pore diameter distribution experiments show that the BET specific area of Well PD1 ranges from 14.5 m2/g to 34.7 m2/g, averaging 28.6 m2/g, and the BET average pore diameter ranges from 3.40 nm to 4.88 nm, averaging 3.96 nm. The core observation, thin section identification and SEM analysis indicate that the fractures in the shallow shale gas area of Laochangping anticline are dominantly bedding fractures and micro-nano fractures, while structural fractures are relatively undeveloped. Bedding fractures are mainly the fractures of 500 μm - 2 mm wide between organic-rich lamina and organic-bearing lamina, and their opening is influenced by the later uplift and unloading. Micro-nano fractures include hydrocarbon generation-induced fractures and mineral shrinkage fractures, and their thickness is mostly less than 2 μm. Structural fractures are dominated by horizontal fractures and have relatively undeveloped high-angle fractures, with the density of 0.76-1.10 fractures/m, and they are mainly distributed in the Wufeng Formation. The high-quality shale exhibits the porosity of 2.26%-6.58%, averaging 5.27%, and the permeability of (0.000 2-0.703 9)× 10-3 μm2, averaging 0.084 1×10-3 μm2, which indicates that the reservoir is of low porosity and extra-low permeability. In contrast to medium-deep shale gas reservoirs, shallow shale gas reservoirs have experienced weaker compaction due to large-amplitude uplift and denudation in the later stage, so pores are well preserved even under the condition of reservoir pressure released. Moreover, micro-nano pores are developed in shallow shale gas reservoirs, which are mainly round to elliptic, with large specific area, pore diameter and porosity, being favorable for the accumulation and adsorption of shale gas.
The whole-rock X-ray diffraction experiments indicate that the minerals in the high-quality shale in the Laochangping anticline are primarily quartz and clay minerals, followed by detrital minerals of different contents. The quartz content increases, while the clay mineral content decreases, from top to bottom. The average content is 54.9% for quartz, 24.1% for clay mineral, 7.6% for carbonate mineral, 9.3% for feldspar, and 3.4% for pyrite. The content of brittle minerals such as quartz, carbonate and feldspar is as high as 71.5%, so the rock is highly brittle, which is favorable for fracturing stimulation. The maximum fracture pressure during the fracturing of Well PD1HF is 44.1 MPa, which demonstrates the good fracability of shallow shale.

2.2. Strong tectonism results in poor preservation conditions, so adsorbed gas is dominant

The Laochangping anticline has been reworked by multiple stages of tectonic movement since the Caledonian, where the strong tectonism [19-20] has great influence on the preservation of shale gas. In this area, vertical up-down motion was dominant before the Yanshanian. During the early Yanshanian, NE back-thrust anticlinal structure was formed by SE compressional stress and NE reverse fault was formed in the north and south flanks of the anticline, which lays the foundation for the structural pattern in this area. During the middle-late Yanshanian, the continuation of SE compressional stress and the NE compressional strike-slipping jointly intensified the anticlinal deformation to form nearly NS transpressional strike-slip fault which reworked the early structures and faults. As a result, the anticline was cut into three sections, with larger thrust nappes in the east and west sections than in the middle section. The continuous compressional strike-slipping and the differential uplift and denudation since the Himalayan resulted in the current saddle-shaped structure pattern of “two sags and two salients with one uplift” (Figs. 1 and 2). Specifically, the Laochangping anticline is supported between the Shizhu syncline and the Wulong syncline in the south-north direction, with the shales completely denuded in the salient areas in the east and west, and the Wufeng-Longmaxi only remained in the middle of the anticline. The Laochangping anticline as a whole was uplifted and denuded greatly. In the east, the uplift and denudation amplitude is 5500 m, the Wufeng-Longmaxi is denuded completely, and the Cambrian-Sinian is exposed at the core of the anticline, accounting for 69% of total anticline area. In the west, the uplift and denudation amplitude is 4800 m, and the Ordovician-Cambrian is exposed at the core of the anticline, covering an area of 12.8 km2, which is a small window. In the middle part, the uplift and denudation amplitude is 3500 m, the Lower Permian-Silurian is exposed at the core of the anticline, the Wufeng-Longmaxi shale is preserved intactly, and the structure is morphologically an anticline with gentle top, which is 22 km long and 10.6 km wide, covering an area of 230 km2. In this area, two groups of faults (NE and NS) are developed in the Wufeng-Long 1 Member, and they are mainly the third- and fourth-order faults. The Baisha fault and Zhongjiangbazi fault are NE reverse faults, and they control the north and south boundaries of the Laochangping anticline respectively. The Chayuan fault and Hujiayuan fault are NS transpressional strike-slip faults, and they cut the anticline into three sections (west, middle and east). The faults locally extend to the surface.
Different from the “box-shaped” structure of Jiaoshiba anticline and the “sag surrounding uplift” structure of Taiyang anticline (Fig. 4), the Laochangping anticline exhibits larger uplift amplitude, extensively denudated target interval and stronger tectonic reworking, make its shale gas preservation and occurrence remarkably distinct from those in the Taiyang and Jiaoshiba anticlines (Table 2). Well PD1 was perforated at the Lower Permian Maokou Formation, which is 979 m to the bottom of Wufeng Formation and 8.2 km away from the western denudation zone, under a normal pressure system (the pressure coefficient of 0.99) according to the pre-frac injection test. The logging interpretation shows that the total gas content is 1.1-4.8 m3/t, averaging 3.46 m3/t, of which the average adsorbed gas content is 2.78 m3/t, accounting for 80.3% (Table 2). This indicates that strong tectonism led to poor preservation conditions, where free gas escaped greatly, so adsorbed gas is dominant.
Fig. 4. Shale gas accumulation model in Laochangping, Jiaoshiba and Taiyang anticlines. O—Ordovician; S1l—Silurian Longmaxi Formation; S1x—Silurian Xiaoheba Formation; S2sh—Silurian Shiniulan Formation; S2h—Silurian Hanjiadian Formation; P—Permian; T—Triassic; J—Jurassic.
Table 2. Comparison of shallow shale gas preservation condition and gas content between Laochangping anticline and its neighboring areas
Structure Pressure coefficient Burial depth/m Formation
dip/(°)
Exposed formation Gas content/(m3·t-1) Percentage of adsorbed gas/%
Total Adsorbed gas Free gas
Laochangping anticline 0.99 979.0 5-25 Permian Qixia Formation 3.46 2.78 0.68 80.3
Taiyang anticline 1.25 1088.0 5-10 Permian Maokou Formation 4.21 1.85 2.36 43.9
Pingqiao anticline 1.35 2698.5 20 Triassic Jialingjiang Formation 4.47 1.86 2.61 41.6
Jiaoshiba anticline 1.55 2415.0 5-10 Triassic Jialingjiang Formation 6.64 2.68 3.96 40.4
Wulong syncline 1.08 2837.0 22 Triassic Jialingjiang Formation 5.56 2.52 3.04 45.3
Daozhen syncline 1.01 3173.0 16 Triassic Leikoupo Formation 4.08 2.41 1.67 59.1
Shale gas exists mainly in the state of free gas and adsorbed gas in dark mud shale, and its occurrence states vary greatly with geological conditions. Based on the occurrence states and exploration and development demands of shale gas, shale gas reservoirs are classified by the adsorbed gas percentage to: (1) adsorbed gas reservoir, with the adsorbed gas percentage greater than 60%; (2) adsorbed-free gas reservoir or free-adsorbed gas reservoir, with the adsorbed gas percentage of 40%-60%; and (3) free gas reservoir, with the adsorbed gas percentage less than 40%. The percentage of free gas in reservoirs of the Fuling, Weiyuan, Changning, Zhaotong and other large high-pressure shale gas fields that have been discovered and developed in China is generally in the range of 50%-70%, so they are classified as adsorbed-free gas reservoirs or free gas reservoirs according to the above-mentioned criteria. The shale gas reservoirs in the Laochangping anticline have the adsorbed gas percentage of 80.3%, shale depth of 0-2000 m and formation pressure coefficient of 0.99, indicative of shallow normal-pressure adsorbed gas reservoirs.

2.3. Low current in-situ stress and big difference between principal stresses make it difficult to form complex fracture network

In contrast to medium-deep shale, shallow shale presents the typical rock mechanical characteristics of low elastic modulus, low in-situ stress, and high horizontal stress difference coefficient (Table 3).
Table 3. Comparison of shallow shale gas fracability parameters between Laochangping anticline and its neighboring areas
Structure Elastic modulus/GPa Poisson’s ratio Max. horizontal principal stress/MPa Min. horizontal principal stress/MPa Stress difference coefficient
Laochangping anticline 35.40 0.19 28.6 18.3 0.56
Taiyang anticline 30.50 0.12
Pingqiao anticline 39.80 0.21 55.6 49.7 0.12
Jiaoshiba anticline 30.00 0.20 55.0 49.0 0.12
Wulong syncline 31.52 0.18 64.0 48.8 0.31
Daozhen syncline 39.20 0.20 67.5 57.6 0.17
The high-quality shales in the Laochangping anticline have the elastic modulus of 25.4-43.9 GPa (averaging 35.4 GPa), the Poisson’s ratio of 0.14-0.26 (averaging 0.19), and the rock brittleness index of 59.2%, indicating good brittle characteristics. In the process of formation uplifting and shallowing in this area, the in-situ stress got released greatly. At present, the maximum and minimum horizontal principal stresses are 28.6 MPa and 18.3 MPa, respectively, corresponding to the horizontal stress difference of 10.3 MPa, and the stress difference coefficient of 0.56. The in-situ stress is low, but the difference between principal stresses is large, so it is difficult to form complex fracture network though fracturing. Moreover, the vertical stress is 24.9 MPa, which is between the maximum and minimum horizontal principal stresses, so fractures tend to propagate laterally but not vertically. Well PD1HF has the average single-stage fracturing section length of 100.7 m, operation pressure of 10.6-42.9 MPa, formation fracture pressure of 23.8-44.1 MPa, pump-off pressure of 16.0-26.7 MPa, average fracturing fluid consumption of 19.7 m3 per meter, and average proppant consumption of 1.7 m3 per meter. The operation pressure is generally low, and the proppant injection is smooth, but the percentage of complex fracture network is small (33.3%).

3. Adsorption/desorption mechanism and production practice

In view that shallow normal-pressure shale gas is characterized by poor preservation conditions and high adsorbed gas percentage due to strong tectonism, the occurrence characteristics and adsorption/desorption mechanisms of shallow normal-pressure shale gas are investigated by means of experiments such as isothermal adsorption, gas content desorption and in-situ pressure permeability test. It is indicated that shallow normal- pressure shale gas occurs mainly in the state of adsorbed gas, and the enrichment of adsorbed gas is controlled by the sensitive desorption pressure, so depressurization desorption is the main method to realize commercial production of adsorbed gas.

3.1. Occurrence of shallow normal-pressure shale gas

Many normal-pressure shale gas wells in southeastern Sichuan Basin show that total gas content and free gas content of shale tend to increase with the depth. Adsorbed gas content is not closely related to burial depth, but the percentage of adsorbed gas increases significantly with the decrease of burial depth (Table 4). For medium-deep normal-pressure shale gas, the total gas content, free gas content and adsorbed gas content are 3.4-5.9, 1.4-3.2 and 1.8-2.7 m3/t, respectively, and the percentage of adsorbed gas is 40%-60%. For shallow normal-pressure shale gas, the total gas content is 3.0-3.5 m3/t, which is 1.0-2.5 m3/t lower than that of medium-deep normal-pressure shale gas, the free gas content is 0.7-1.2 m3/t, the adsorbed gas content is 2.5-2.8 m3/t, and the percentage of adsorbed gas is 60%-80%. To sum up, shallow shale gas is influenced more by tectonism, which results in poor preservation conditions, low free gas content and percentage, pressure coefficient and total gas content. And thus, shallow shale gas is dominated by adsorbed gas, whose content is not closely related to burial depth.
Table 4. Gas content of high-quality shale at different burial depths in different shale gas wells in southeastern Chongqing area
Well Shale depth/m Pressure coefficient Gas content /(m3·t-1) Percentage of adsorbed gas/%
Total Free gas Adsorbed gas
PD1 979.0 0.99 3.46 0.68 2.78 80.3
ZY3 2249.0 1.02 3.38 1.43 1.95 57.7
LY2 2491.0 1.06 5.84 3.22 2.62 44.9
LY1 2837.0 1.08 5.56 3.04 2.52 45.3
PY5 2937.5 1.09 4.13 2.25 1.88 45.5
LY3 3389.5 1.17 5.5 3.14 2.36 42.9

3.2. Influential factors of shallow adsorbed gas

Experimental analysis indicates that shale adsorbability is sensitive to multiple factors, including intrinsic factors such as organic matter abundance, mineral composition and pore structure, and extrinsic factors such as formation temperature, pressure and fluid [21-24]. Shallow shale gas is not quite different from medium-deep shale gas in terms of mineral composition and pore structure. Formation temperature, formation pressure and the difference of organic matter abundance between layers are the key factors influencing shale adsorbed gas content. The isothermal adsorption experiment on different TOC samples taken from the high-quality shale in Well PD1 shows that corresponding to TOC of 2.07%, 4.5% and 5.11%, the Langmuir volume is 2.09, 4.25 and 4.51 m3/t, respectively, indicating that under the same temperature and pressure, shale adsorbability increases with the increase of TOC value. The drilling samples from the southeastern Chongqing area also reveal an obvious positive correlation between TOC and adsorption capacity (Fig. 5), indicating that TOC has a great influence on adsorbability and the extensive specific surface area of organic matter provides the main adsorption sites for shale gas. The high-quality shale in the Laochangping anticline reflects high TOC values, with an average of 4.15%, which is 0.5% higher than that in the neighboring areas. This means that the adsorbability is higher in the Laochangping anticline.
Fig. 5. TOC vs. adsorption capacity of core samples from southeastern Chongqing area.
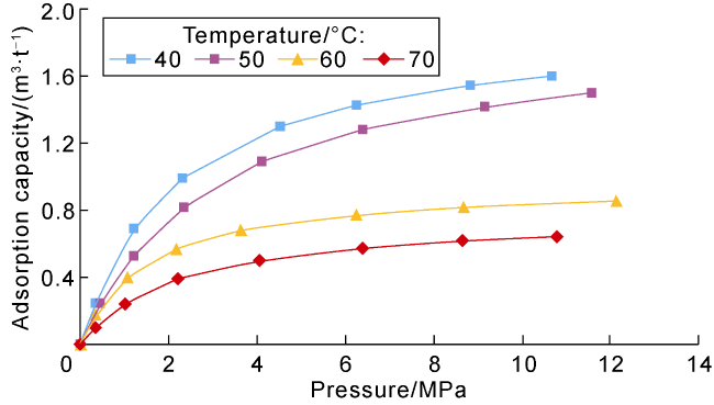
To test the adsorption capacity of a sample under different temperatures, isothermal adsorption experiments were carried out by increasing the pressure from 0 to 15 MPa at four temperatures (40, 50, 60, 70 °C). The experimental results show that the adsorption capacity is 1.6 m3/t at 40 °C, 1.5 m3/t at 50 °C, 0.85 m3/t at 60 °C and 0.64 m3/t at 70 °C, which demonstrates that the adsorption capacity decreases by 60% as the temperature increases by 30 °C (Fig. 6). This indicates that the increasing of temperature will increase the activity and free path of methane molecule and hinder the adsorption of shale gas, which means that temperature is an important extrinsic factor controlling shale adsorbability. Shallow shale is characterized by small burial depth and low formation temperature. In the Laochangping anticline, for example, the shales are dominantly buried at 500- 1500 m, with the formation temperature of 27-51 °C. The lower temperature is favorable for gas adsorption, for it reduces the possibility of gas desorption caused by great kinetic energy.
Fig. 6. Isothermal adsorption of the same sample in Well PD1 under different temperatures.
Formation pressure also has an important influence on the adsorbability. With the increase of formation pressure, the isothermal adsorption curve is generally divided into three stages. In the first stage (rapid adsorption), when the pressure is generally 0-5 MPa, the amount of gas adsorbed to shale increases rapidly with the increase of formation pressure, and the adsorption rate is high. In the second stage (slow adsorption), when the pressure is generally 5-10 MPa, the amount of gas adsorbed to shale increases slowly with the increase of formation pressure, and the adsorption rate decreases. In the third stage (gentle adsorption), when the pressure is generally higher than 10 MPa, the amount of gas adsorbed to shale tends to be saturated with the increase of the pressure, and the adsorption rate is low.
An adsorbed gas prediction model (Fig. 7) was established on the basis of Langmuir formula as well as the positive correlation of adsorption capacity with TOC and pressure and the negative correlation with temperature. By virtue of this model, the variation of adsorption capacity with depth, TOC and pressure coefficient was predicted. It is found that with the increase of depth, both temperature and pressure rise, and the amount of gas adsorbed to shale increases and then decreases, with 900-1300 m as the critical depth interval. Above the critical depth, the shale adsorbability is controlled by the pressure; with the increase of the burial depth, shale adsorbability increases and then reaches the maximum value at the critical depth. Below the critical depth, the shale adsorbability is under the joint control of temperature and pressure, with temperature as the main control factor; as the burial depth increases further, the formation temperature increases, and the shale adsorbability decreases.
Fig. 7. Relationship between predicted adsorption capacity and depth of samples with different TOC in southeastern Chongqing area (assumed pressure gradient: 10 MPa/km and geothermal gradient: 30 °C/km).
In Well PD1, the formation temperature is about 38 °C, the formation pressure is 9.8 MPa, and the critical depth is about 1100 m. The burial depth of the Wufeng Formation shale in this well is 979 m, which is above the critical depth and close to the peak adsorbability, so it has a great adsorbability.

3.3. Preservation and adsorption/desorption characteristics of shallow shale gas

Previous researches indicate that preservation condition is the key factor influencing shale gas accumulation. The better the preservation condition, the higher the formation pressure coefficient and the total gas content [1,6 -7,25 -28]. Further researches have suggested that preservation condition has very different impact on free shale gas and adsorbed shale gas. Free gas with strong fluidity is influenced more by preservation condition. As for medium-deep shale gas, the greater the burial depth and the farther from the denuded area, the weaker the later tectonism, the better the preservation condition and the higher the content and percentage of free gas are. In the shallow normal-pressure shale gas area which is shallow and close to the denuded area, free gas escapes to the pressure relief zone of structural high along the bed under the joint effect of concentration difference and pressure difference, so the free gas content is generally lower than 1 m3/t, and the free gas percentage is generally lower than 30%. Under the action of intermolecular Van Der Waals force and Coulomb force, adsorbed gas adsorbs to the particle surface of organic matter and clay mineral and gets less movable, so it is less influenced by the preservation condition. As long as the formation pressure is higher than the desorption pressure (about 5 MPa), the adsorbed gas can be well preserved.
The adsorption curve obtained from the isothermal adsorption experiment of Well PD1 shows the adsorption characteristics in three stages, i.e., rapid adsorption, slow adsorption and gentle adsorption. When the pressure is 0-5 MPa, shale adsorbs gas rapidly, the interim adsorbed gas accounts for 90.7% of the maximum adsorption, and the adsorption rate is 1.1 cm3/(g·MPa). When the pressure is 5-10 MPa, shale adsorbs gas slowly, the interim adsorbed gas accounts for 5.2% of the maximum adsorption, and the adsorption rate is 0.06 cm3/(g·MPa). When the pressure is higher than 10 MPa, shale adsorption is nearly saturated, the interim adsorbed gas accounts for 4.1% of the maximum adsorption, and the adsorption rate is 0.02 cm3/(g·MPa). This indicates that the rapid adsorption stage with pressure lower than 5 MPa is the important stage of large-scale shale gas adsorption in shale reservoirs, and also the key stage of desorption of a large amount of adsorbed gas. The intersection between the tangent of rapid adsorption curve and the tangent of later adsorption curve is the break point of sensitive desorption, corresponding to a pressure called as sensitive desorption pressure. The sensitive desorption pressure of layers in Well PD1 ranges from 1.7 MPa to 2.5 MPa (Fig. 8). After the formation pressure is lower than the sensitive desorption pressure, the adsorbed gas desorbs rapidly in a large scale, which in production is embodied as the rapid increase of single-well production and the high and stable production. The formation pressure of shallow normal-pressure shale gas is generally 5-15 MPa, so the adsorbed gas cannot be desorbed rapidly unless the reservoir pressure is decreased to be lower than the sensitive desorption pressure by optimizing the production process.
Fig. 8. Isothermal adsorption of layers in Well PD1.
To sum up, the Laochangping anticline has undergone two periods of strong tectonism, which led to the loss of a great amount of free gas. When the formation pressure of the target layer is higher than the desorption pressure, the adsorbed gas can be mostly preserved in the shale. Therefore, the adsorbed gas cannot be desorbed and produced in a great quantity unless the formation pressure of the target layer drops to lower than 2.0 MPa, i.e. the sensitive desorption pressure (1.7-2.5 MPa).

3.4. Practical desorption and production of adsorbed gas

Based on the above mentioned research results, Well PD1HF in the Laochangping anticline was selected for adsorbed gas desorption process research. This well, with the target layer at 979 m (VD) and the horizontal section of 1510 m long, revealed the initial daily gas production rate of 1.1×104 m3 during test under the casing pressure of 0.35 MPa. The production test is divided into three stages, including jet pump production, hydraulic rodless pump production, and flow production. In the stage of jet pump production, the daily liquid production was less than 5 m3, the bottomhole flow pressure declined from 4.72 MPa to about 3.9 MPa, the daily casing pressure drop was 0.001 MPa, and the equivalent dynamic liquid level depth was 585 m. Due to high liquid level, low daily liquid production and serious liquid loading at the bottomhole, the formation pressure in the reservoir stimulation zone could hardly decrease to the sensitive desorption pressure, and the gas well productivity could not be liberated sufficiently. As a result, it showed the characteristics of low gas production rate, casing pressure and liquid production rate, and long low-pressure stable production period with casing pressure of 0.4 MPa and daily gas production of (0.6-0.8)×104 m3. [21]. According to the desorption laws of adsorbed gas, the adsorbed gas cannot be desorbed and produced in a great quantity unless the formation pressure is lower than the sensitive desorption pressure. Therefore, the production process was optimized, and the hydraulic rodless pump was selected for drainage enhancement to decrease the flow pressure. The daily liquid production was increased to 12.0-38.5 m3. After 21 d of liquid drainage, the bottomhole flow pressure dropped to 1.95 MPa, the equivalent dynamic liquid level declined to about 810 m, the flow regime in the wellbore transited gradually from pure liquid-bubble flow (fluid density of 949 kg/m3) to slug flow-annulus flow (fluid density decreasing from 900 kg/m3 to 200 kg/m3), and the production rate increased to 4.4×104 m3/d with interim cumulative gas production of 13×104 m3. At present, it is in the stage of flow production, when the bottomhole flow pressure drops from 1.95 MPa to 1.39 MPa, and the formation pressure in the reservoir stimulation zone decreases below the sensitive desorption pressure. In this situation, adsorbed gas begins to desorb greatly and transforms into the regime of mist flow (fluid density less than 200 kg/m3), so that the stable production of flow carrying fluid is realized with daily gas production of (4.4-4.6)×104 m3, daily liquid production of 4.7 m3, and the production rate and the casing pressure are stable. The EUR evaluated according to the flowing material balance based on the latest production data is 0.36×108 m3, which means the effective production of shallow normal-pressure adsorbed gas.

4. Exploration enlightenment and research direction

4.1. Further study on the occurrence mechanisms and adsorption/desorption laws is the prerequisite for breakthrough in exploration of shallow normal-pressure shale gas

According to the traditional point of view, shallow normal-pressure shale gas has poorer preservation condition and lower gas content than medium-deep shale gas, and it is the high-risk area and even the restricted area of shale gas exploration. Recently, the occurrence mechanisms and desorption laws of free gas and adsorbed gas in shallow and medium-deep zones with normal pressure have been researched systematically by conducting isothermal adsorption, gas content desorption and other experiments. And accordingly, the following new understandings are obtained on the occurrence characteristics and exploration potential of shallow normal-pressure shale gas. First, the shallow normal-pressure shale has the occurrence characteristics of “three lows and one high” (i.e., low pressure coefficient, low total gas content, low free gas content, and high adsorbed gas content and percentage), and it is dominated by adsorbed gas. Second, the adsorbed gas content is not closely related to the burial depth. The adsorbed gas requires less on preservation condition. It is favorable for the preservation of adsorbed gas as long as the formation pressure is higher than the desorption pressure. Third, shallow normal-pressure shale gas has a low sensitive desorption pressure, so its rapid desorption and flow can be realized by lowering the bottomhole pressure to below the sensitive desorption pressure. Based on these new understandings, the technologies for adsorbed gas production in Well PD1 were developed to obtain high-yield industrial gas flow. It is for the first time that shallow normal-pressure adsorbed gas reservoir is discovered in China, and a breakthrough is realized in the exploration of shallow normal-pressure adsorbed gas outside the basin.

4.2. Geology-engineering integration is critical to the rapid and beneficial production of unconventional oil and gas such as shallow shale gas

As the petroleum industry enters the “unconventional” stage, geology-engineering integration is increasingly becoming the necessary way to the efficient exploration and development of unconventional complex reservoirs. As for shallow normal-pressure shale gas, it is understood by geologically researching the occurrence patterns of gas and the desorption laws of adsorbed gas that the sensitive desorption pressure of adsorbed gas in Well PD1 is 1.7-2.5 MPa. When the formation pressure is 5-15 MPa, it is necessary to enhance drainage, for large-scale desorption and production of the shale gas dominated by adsorbed gas cannot be realized unless the liquid level and the flow pressure decrease. In engineering, multi-round production process research and test are carried out according to the geological requirements, and the hydraulic rodless pump production process which is suitable for the geological conditions in terms of installed power, daily fluid drainage and life is selected. By virtue of this process, the daily liquid production increases greatly, the dynamic liquid level declines quickly, the bottomhole flow pressure reaches less than 2 MPa soon, and single-well production rate increases sharply to over 4.4×104 m3/d, so as to achieve high and stable production. To sum up, for complex objects or tough fields, it is geologically necessary to identify the key geological problems restricting the exploration, and determine geological understandings, mechanisms and laws by deepening the geological researches, so as to point out the engineering research direction. In engineering, it is necessary to carry out targeted experiments. And thus, geology and engineering are integrated [26-27], so as to realize exploration breakthrough and beneficial production in the new fields.

4.3. Prospect and research direction of shallow shale gas

The recoverable normal-pressure shale gas in the complex structure areas in the Sichuan Basin and its periphery is up to 9.08×1012 m3, which is the main battlefield of shale gas reserve and production increase in the future. Well PD1 in the Laochangping anticline takes the first place in achieving exploration breakthrough of shallow normal-pressure shale gas in the complex structure area outside the basin, which reveals the great exploration and development potential of shallow and extra-shallow normal-pressure shale gas and is of important significance to revitalize the normal-pressure shale gas resources in southern China. Shallow shale is small in burial depth and in-situ stress, so the drilling footage and drilling cycle are short, and the fracturing operation difficulty and drilling cost are low. The breakthrough of Well PD1 confirms the confidence and determination of beneficial production of normal-pressure shale gas outside the basin, transforms the exploration idea from “deep to shallow” to “shallow to deep”, which means implementing the shallow shale gas first to realize the beneficial development and then stepping to the medium-deep shale gas. For the shallow shale gas above the depth of 2000 m, it is geologically necessary to strengthen the researches on its occurrence patterns and adsorption/desorption mechanisms, and further understand the enrichment laws of adsorbed shale gas, so as to guide the selection of the sweet spot of shale gas. In engineering, it is necessary to carry out technological researches from aspects of primary casing program, efficient fracturing and production process, so as to open a new situation of shale gas exploration and development outside the basin. For the medium-deep shale gas below the depth of 2000 m, it is necessary to focus on two main lines of production improvement and cost reduction to research the enrichment and high yield laws and development technologies of shale gas and strengthen technological research of production improvement and cost reduction such as drilling and completion, fracturing, and gas production, so as to promote the large-scale beneficial development of normal-pressure shale gas in complex structure areas [28-29].

5. Conclusions

Compared with medium-deep shale gas, shallow normal-pressure shale gas is equivalent in the static indicators such as high-quality shale thickness, geochemical parameters, physical properties and mineral composition, but poorer in resource endowment with the geological characteristics of lower pressure coefficient and gas content, high adsorbed gas percentage, small in-situ stress and large horizontal stress difference. But its smaller burial depth provides better production engineering and economic conditions.
Shallow normal-pressure shale has strong adsorbability, and corresponds to a low desorption pressure of adsorbed gas. Organic matter abundance and formation pressure and temperature are the main factors controlling the enrichment of shallow adsorbed gas. Shallow shale has high organic matter abundance, low formation temperature and strong adsorbability, and its formation pressure is generally in the range of 5-15 MPa, which is favorable for the preservation of adsorbed gas. The sensitive desorption pressure of shallow normal-pressure shale gas is in the range of 1.7-2.5 MPa. The rapid desorption and production of adsorbed gas cannot be realized unless the downhole pressure is lower than the sensitive desorption pressure.
The exploration breakthrough of Well PD1 verifies the great exploration and development potential of shallow normal-pressure shale gas, confirms the confidence of normal-pressure shale gas exploration outside the basin, and transforms the exploration deployment idea, which is conducive to promote the large-scale beneficial development of shallow normal-pressure shale gas in the complex structure areas in peripheral areas of Sichuan Basin.
[1]
GUO Xusheng, BORJIGIN T, WEI Xiangfeng, et al. Occurrence mechanism and exploration potential of deep marine shale gas in Sichuan Basin. Acta Petrolei Sinica, 2022, 43(4): 453-468.

DOI

[2]
ZOU Caineng, ZHAO Qun, CONG Lianzhu, et al. Development progress, potential and prospect of shale gas in China. Natural Gas Industry, 2021, 41(1): 1-14.

[3]
WANG Yuman, WANG Hongyan, QIU Zhen, et al. Basic characteristics of key interfaces in Upper Ordovician Wufeng Formation-Lower Silurian Longmaxi Formation in Sichuan Basin and its periphery, SW China. Petroleum Exploration and Development, 2022, 49(1): 32-44.

[4]
PANG Fei, ZHANG Zuoheng, ZHANG Junfeng, et al. Progress and prospect on exploration and development of shale gas in the Yangtze River economic belt. Earth Science, 2020, 45(6): 2152-2159.

[5]
SUN Huanquan, CAI Xunyu, HU Degao, et al. Theory, technology and practice of shale gas three-dimensional development: A case study of Fuling shale gas field in Sichuan Basin, SW China. Petroleum Exploration and Development, 2023, 50(3): 573-584.

DOI

[6]
HE Xipeng. Sweet spot evaluation system and enrichment and high yield influential factors of shale gas in Nanchuan area of eastern Sichuan Basin. Natural Gas Industry, 2021, 41(1): 59-71.

[7]
HE Guisong, HE Xipeng, GAO Yuqiao, et al. Enrichment model of normal-pressure shale gas in the Jinfo slope of the basin-margin transition zone in southeast Chongqing. Natural Gas Industry, 2020, 40(6): 50-60.

[8]
NIE Haikuan, LI Pei, DANG Wei, et al. Enrichment characteristics and exploration directions of deep shale gas of Ordovician-Silurian in the Sichuan Basin and its surrounding areas, China. Petroleum Exploration and Development, 2022, 49(4): 648-659.

[9]
HU Dongfeng, WEI Zhihong, LI Yuping, et al. Deep shale gas exploration in complex structure belt of the southeastern Sichuan Basin: Progress and breakthrough. Natural Gas Industry, 2022, 42(8): 35-44.

[10]
LIANG Xing, WANG Gaocheng, XU Zhengyu, et al. Comprehensive evaluation technology for shale gas sweet spots in the complex marine mountains, south China: A case study from Zhaotong National Shale Gas Demonstration Zone. Natural Gas Industry, 2016, 36(1): 33-42.

[11]
LIANG Xing, WANG Gaocheng, ZHANG Jiehui, et al. High-efficiency integrated shale gas development model of Zhaotong National Demonstration Zone and its practical Enlightenment. China Petroleum Exploration, 2017, 22(1): 29-37.

DOI

[12]
LIANG Xing, XU Zhengyu, ZHANG Zhao, et al. Breakthrough of shallow shale gas exploration in Taiyang anticline area and its significance for resource development in Zhaotong, Yunnan Province, China. Petroleum Exploration and Development, 2020, 47(1): 11-28.

[13]
LIANG Xing, SHAN Chang’an, WANG Weixu, et al. Exploration and development in the Zhaotong National Shale Gas Demonstration Area: Progress and prospect. Natural Gas Industry, 2022, 42(8): 60-77.

[14]
MA Jun, GUAN Linlin, GAO Quanfang, et al. Exploration and discovery of normal pressure shale gas in shallow anticline in southeast Chongqing area. China Petroleum Exploration, 2022, 27(3): 47-60.

DOI

[15]
HE Xipeng, HE Guisong, GAO Yuqiao, et al. Geological characteristics and enrichment laws of normal-pressure shale gas in the basin-margin transition zone of SE Chongqing. Natural Gas Industry, 2018, 38(12): 1-14.

[16]
LI Donghai, YAO Hongsheng, HE Xipeng, et al. Geological theory and resource potential of atmospheric shale gas in complex structure area. Beijing: Geological Publishing House, 2022.

[17]
ZHANG Peixian, NIE Haikuan, HE Xipeng, et al. Paleozoic gas accumulation system and stereoscopic exploration in Southeastern Chongqing. Earth Science, 2023, 48(1): 206-222.

[18]
HE Xipeng, GAO Yuqiao, MA Jun, et al. Sedimentary characteristics and geological significance of outcrop in Wufeng-Longmaxi Formation, Huangying Town, Wulong District, Chongqing. Reservoir Evaluation and Development, 2022, 12(1): 95-106.

[19]
HE Guisong, HE Xipeng, GAO Yuqiao, et al. Analysis of accumulation conditions of three sets of marine shale gas in southern China. Lithologic Reservoirs, 2019, 31(1): 57-68.

[20]
YAO Hongsheng, HE Xipeng, WANG Yunhai, et al. Geophysical exploration technology and practice of atmospheric shale gas in complex structure area. Beijing: Geological Publishing House, 2021.

[21]
HE Xipeng, LU Bi, HE Guisong, et al. Production characteristics and optimized development technologies for normal-pressure shale gas in the structurally complex areas of southeastern Chongqing. Oil & Gas Geology, 2021, 42(1): 224-240.

[22]
CHEN Ji, XU Yaohui, XIAO Qilin, et al. Characteristics and influencing factors of water sorption of Longtan Formation shales in southwestern Hunan. Journal of Yangtze University (Natural Science Edition), 2021, 18(4): 13-23.

[23]
SHI Xuewen, ZHOU Shangwen, TIAN Chong, et al. Methane adsorption characteristics and controlling factors of deep shale gas in southern Sichuan Basin, China. Natural Gas Geoscience, 2021, 32(11): 1735-1747.

[24]
WANG Qiang, MU Yapeng, CHEN Xian, et al. Characteristics of methane isothermal adsorption of deep shale from Lower Silurian Longmaxi Formation in southeastern Sichuan Basin and its geological significance. Petroleum Geology and Experiment, 2022, 44(1): 180-187.

[25]
HE Xipeng, GAO Yuqiao, TANG Xianchun, et al. Analysis of major factors controlling the accumulation in normal pressure shale gas in the southeast of Chongqing. Natural Gas Geoscience, 2017, 28(4): 654-664.

[26]
BAO Hanyong, LIANG Bang, ZHENG Aiwei, et al. Application of geology and engineering integration in stereoscopic exploration and development of Fuling Shale Gas Demonstration Area. China Petroleum Exploration, 2022, 27(1): 88-98.

DOI

[27]
WANG Yunhai, REN Jianhua, CHEN Zuhua, et al. Integrated benefit development and intelligent evaluation of normal pressure shale gas. Reservoir Evaluation and Development, 2021, 11(4): 487-496.

[28]
HE Xipeng, QI Yanping, HE Guisong, et al. Further understanding of main controlling factors of normal pressure shale gas enrichment and high yield in the area with complex structure of the southeast area of Chongqing. Reservoir Evaluation and Development, 2019, 9(5): 32-39.

[29]
HE Xipeng, HE Guisong, GAO Yuqiao, et al. Progress in and research direction of key technologies for normal- pressure shale gas exploration and development. Natural Gas Industry, 2023, 43(6): 1-14.

Outlines

/