Connotation and research strategy of the whole petroleum system

  • SONG Yan , 1, * ,
  • JIA Chengzao 1, 2 ,
  • JIANG Lin 1 ,
  • MA Xingzhi 1 ,
  • SHAO Xindi 3
Expand
  • 1. PetroChina Research Institute of Petroleum Exploration & Development, Beijing 100083, China
  • 2. China National Petroleum Corporation, Beijing 100007, China
  • 3. Unconventional Petroleum Research Institute, China University of Petroleum (Beijing), Beijing 102249, China

Received date: 2024-04-05

  Revised date: 2024-10-29

  Online published: 2025-01-03

Supported by

Fundamental Project of China National Petroleum Corporation(2021DJ0101)

Copyright

Copyright © 2024, Research Institute of Petroleum Exploration and Development Co., Ltd., CNPC (RIPED). Publishing Services provided by Elsevier B.V. on behalf of KeAi Communications Co., Ltd. This is an open access article under the CC BY-NC-ND license (http://creativecommons.org/licenses/by-nc-nd/4.0/).

Abstract

Traditional petroleum system theories emphasize the restoration of the accumulation process from “source” to “trap”. The main oil and gas resources in the concept are conventional oil and gas, lacking the concept and research of unconventional oil and gas enrichment mechanism. The whole petroleum system is developed from the traditional petroleum system. Combined with unconventional oil and gas exploration practices and discoveries such as shale oil and gas, the whole petroleum system adds the research content of unconventional oil and gas. Although the study of the whole petroleum system is still in three aspects: geological elements, dynamic evolution and oil and gas distribution, its research ideas and research contents are very different, including the following three aspects. (1) In terms of geological elements, the traditional petroleum system studies the characteristics of source rocks and hydrocarbon generation evolution, and the reservoir properties, traps, migration and preservation conditions of conventional oil and gas. On the basis of the above research, the whole petroleum system has increased the quantitative evaluation of retained hydrocarbons, unconventional reservoir characterization, source reservoir configuration and other research contents. (2) In terms of dynamic evolution, the petroleum system studies the matching between the evolution of conventional oil and gas source rocks and the formation period of traps, while the whole petroleum system has increased the research content of the matching of unconventional reservoir densification and oil and gas charging, and the later transformation of unconventional oil and gas reservoirs. (3) In terms of oil and gas distribution, the petroleum system takes buoyancy-drived accumulation mechanism as the core to study the migration, accumulation and distribution of conventional oil and gas. The whole petroleum system adds unconventional oil and gas self-sealing accumulation mechanism and conventional-unconventional oil and gas distribution sequence, so as to determine the oil and gas distribution characteristics of the whole petroleum system.

Cite this article

SONG Yan , JIA Chengzao , JIANG Lin , MA Xingzhi , SHAO Xindi . Connotation and research strategy of the whole petroleum system[J]. Petroleum Exploration and Development, 2024 , 51(6) : 1386 -1401 . DOI: 10.1016/S1876-3804(25)60548-9

Introduction

In 1994, Magoon and Dow defined a petroleum system in their book The Petroleum System - From Source to Trap as all the petroleum accumulations associated with a pod of active source rock, including all geological elements and petroleum accumulation processes essential for the formation of these petroleum accumulations [1]. The theory of the petroleum system is a research approach and methodology that guides petroleum exploration, and is a vital subject in the researches of major oil companies for petroleum exploration [2-6]. It has been continuously improved and expanded with the oil and gas exploration practices, further elucidating the spatiotemporal correlation between geological elements and petroleum accumulation [4,7 -11]. Its birth and development have played a significant role in enabling explorationists to avoid exploration risks, reduce exploration costs, and improve exploration efficiency in the petroleum exploration.
With the spread of unconventional oil and gas exploration, the unconventional petroleum geological theory has developed rapidly, and an unconventional petroleum geological theory system for the pursuit of micro- and nano-scale pores in tight reservoirs, sweet spots, large- scale “continuous” petroleum accumulations [12]. This theory system goes beyond classical petroleum geological theories [13-18], and allows explorationists to refocus on source rocks from traps. Exploration practices have shown that conventional and unconventional oil and gas resources are interrelated in terms of genesis and coexist spatially, and they present an orderly “symbiotic enrichment” in petroliferous basins [17,19]. The traditional theory of petroleum system emphasizes the restoration of the petroleum accumulation process from “source” to “trap”, and involves conventional petroleum as the primary resources; however, it does not deal with the unconventional hydrocarbon enrichment mechanisms. The establishment of unconventional petroleum geological theory reveals significant deficiencies in traditional petroleum system theory. There is an urgent need to develop a theory of whole petroleum system to guide the integrated exploration and development of conventional and unconventional oil and gas [12,15 -16].
The study of the whole petroleum system covers the entire process of hydrocarbon generation, migration, accumulation, and later reworking, and both conventional and unconventional oil and gas resources [12,15 -16]. That is, it is a natural system that encompasses all conventional and unconventional oil and gas generated by effective source rocks within petroliferous basins, as well as all geological elements and processes related to the formation, evolution, and distribution of these oil and gas resources [15]. Many Chinese scholars have worked a lot on the whole petroleum systems of continental petroliferous basins within the country, but argue differently on the connotation, research approach, and knowledge of the whole petroleum system. The theory of the whole petroleum system, as an emerging theory in petroleum geology, unifies the generation, migration, accumulation, preservation, enrichment and distribution laws of conventional and unconventional oil and gas, and follows fixed research contents and procedures. Considering the challenges in the development of the theory of the whole petroleum system, this paper systematically discusses the object, content, and approach of research on the whole petroleum system, in order to enable a more scientific and sustained theory of the whole petroleum system for effectively guiding the integrated exploration and development of conventional and unconventional oil and gas in petroliferous basins.

1. Concept and connotation of whole petroleum system

1.1. Proposal of the whole petroleum system

In 1974, Dow proposed the concept of “Oil System” based on oil-source correlation, which is considered as the embryonic “whole petroleum system”, and pointed out the composition, and research content/purpose of the Oil System [20]. The term “Petroleum System” was first proposed and clearly defined by Perrodon [21-22]. Later, Meissner et al. [23] and Ulmishek et al. [24] proposed the concepts such as Hydrocarbon Machine and Independent Petroliferous System, which are similar to Dow's Petroleum System and are extensions of previous achievements. Magoon first used the “essential elements” to represent the concepts such as source rock, reservoir rock, migration path, and seal, and underlined that the evolution of oil and gas must be investigated by combining these essential elements in time and space [25]. He further elaborated on the definition, composition, and role of the petroleum system [26], and determined the evolution, distribution, and degree of certainty of petroleum systems using more rational methods and standards. So far, the “Petroleum System” has clear definition and concept, which have been widely accepted. Zhao Wenzhi proposed the concept of Composite Petroleum System for superimposed petroliferous basins with long evolutionary history, multiple layers, and frequent tectonic activities [3-5]. This effectively solves the problems of multi-source, multi-stage hydrocarbon generation, and difficulty in describing and studying multiple critical moments in complex superimposed basins, greatly improving the exploration effectiveness of such basins.
In order to further avoid risks in oil and gas exploration and effectively guide oil and gas exploration, Magoon introduced the complementary play and complementary prospect into the concept of the petroleum system [27], and thus proposed the concept of “Total Petroleum System” [28], which includes undiscovered oil and gas resources in a petroleum system into the evaluation system. Pollastro et al. established a Barnett-Paleozoic total petroleum system model (Fig. 1) for evaluating undiscovered oil and gas resources in the Barnett Shale play, and concluded that the largest undiscovered resources in the total petroleum system are estimated in the continuous gas accumulations in the Barnett Shale [29]. However, they did not make in-depth research due to limited technologies and data at that time. The total petroleum system incorporates undiscovered oil and gas resources, and expands the connotation of classical petroleum system. However, it lacks the concept of unconventional hydrocarbon enrichment mechanism and does not explain the inherent relationship between conventional and unconventional oil and gas. The total petroleum system is still covered in the theory of the petroleum system.
Fig. 1. Barnett-Paleozoic total petroleum system [29].
With the large-scale development of unconventional oil and gas, and the improvement of unconventional petroleum geology theory, the traditional theory and methodology of petroleum system are no longer suitable for assessing the entire petroleum resources underground. A theory of petroleum system covering all resources is highly demanded to guide the integrated exploration and development of conventional and unconventional oil and gas. In 2017, Academician Jia Chengzao proposed the conceptual model of the “Whole Petroleum System”, and stated that the Whole Petroleum System is a comprehensive description of all petroleum resources within a petroliferous basin, including the generation, migration, accumulation, preservation, enrichment and distribution of both conventional and unconventional oil and gas resources, and unifies traditional conventional petroleum geology theory and emerging unconventional petroleum geology theory [12,16,30 -31].

1.2. Concept and connotation of the whole petroleum system

1.2.1. Concept

The distribution of oil and gas within a petroliferous basin is controlled by effective source rock, sedimentary system, and structural pattern. Oil and gas generated by a set of source rock often accumulate in multiple reservoirs. Based on the evolution and distribution of effective source rocks, combined with the migration, accumulation and distribution of conventional oil and gas along the fluid potential associated with their genesis, as well as the pattern of unconventional hydrocarbon accumulation near or within the source, the extent of the whole petroleum system and the orderly distribution of conventional and unconventional oil and gas within the system are determined. A whole petroleum system defined in this paper encompasses all geological elements and processes involved when oil and gas generated by effective source rock in a petroliferous basin are extensively and continuously accumulated in unconventional reservoir beds within or near the source rocks or in conventional traps far away from the source rocks. These processes include hydrocarbon generation, retention, expulsion, migration, accumulation, and reworking. Multiple sets of source rocks are often coexisting within a petroleum unit, forming multiple whole petroleum systems. These whole petroleum systems may share static geological elements, and contain interconnected oil and gas generated by different source rocks. As a result, these whole petroleum systems are cross-stacked within the petroleum unit, constituting a composite petroleum system. Therefore, the primary task of studying a whole petroleum system is to determine the formation and distribution of the whole petroleum system through hydrocarbon-source correlation, and combined with the related static elements and dynamic processes of petroleum accumulation.

1.2.2. Connotation

The whole petroleum system is an extension of the traditional petroleum system. It covers an extent “from source to accumulation” rather than “from source to trap”, and encompasses the elements and processes related to conventional and unconventional hydrocarbon accumulation. The traditional theory of petroleum system focuses on the study of peak hydrocarbon generation period, where the critical moment is taken as time node to determine the spatiotemporal configuration of geological elements and accumulation process within the petroleum system, and then the effectiveness of petroleum accumulation is assessed. In contrast, the whole petroleum system focuses on the peak period of hydrocarbon generation in source rock and the critical moment of conventional petroleum accumulation, and also the entire process of unconventional hydrocarbon accumulation and reworking, as well as the spatiotemporal configuration of geological elements and processes, especially the in-source accumulation due to retention, near-source accumulation after short-distance migration and later reworking of unconventional hydrocarbon. Beyond the traditional theory of petroleum system “from source to trap”, the whole petroleum system relies on a new vision of “source-reservoir coupling and orderly accumulation”, and incorporates unconventional oil and gas resources into the evaluation system, making up for the deficiency of traditional petroleum system theory.
The whole petroleum system is a special nameplate for theory or research methodology, rather than a general term for petroleum geology research. “Whole” refers to the “entire” petroleum accumulation within the whole petroleum system, but not the “entire” contents of petroleum geology research. The theory of whole petroleum system, as an emerging theory in petroleum geology, has fixed research contents and procedures.

2. Review and example of petroleum system theory

2.1. Core of petroleum system theory

The petroleum system is defined as a natural system consisting of effective source rocks, oil and gas generated by the source rocks, and the geological elements and processes necessary for accumulation of oil and gas. Geological elements mainly include effective source rocks, reservoirs, cap rocks, transport systems, and overlying strata. The dynamic evolution history mainly refers to a series of events such as oil and gas generation, migration, and accumulation that occur during the process from source rocks to traps. The most classic theory of petroleum system proposed by Magoon and Dow is the use of “four maps and one table” to show the core research contents of petroleum system, that is, burial history map, petroleum system event map, petroleum system profile map, petroleum system plane map and petroleum system oil and gas accumulation summary table. The burial history map is used to show the sedimentary, tectonic evolution history and thermal evolution history of source rocks in the study area. The petroleum system event diagram is used to show the matching relationship between the static elements of the petroleum system and the critical moment of accumulation. The profile of petroleum system shows the profile distribution characteristics of petroleum system. The plane diagram of petroleum system describes the plane distribution characteristics of petroleum system. The oil and gas accumulation summary table is used to show the oil and gas fields found in the petroleum system.

2.2. Example of petroleum system

In 2000, we studied the Jurassic petroleum system in the Junggar Basin, NW China, using the theory proposed by Magoon and Dow [2]. This study was fully on conventional resources, since no unconventional oil and gas had been found at that time.

2.2.1. Geological elements

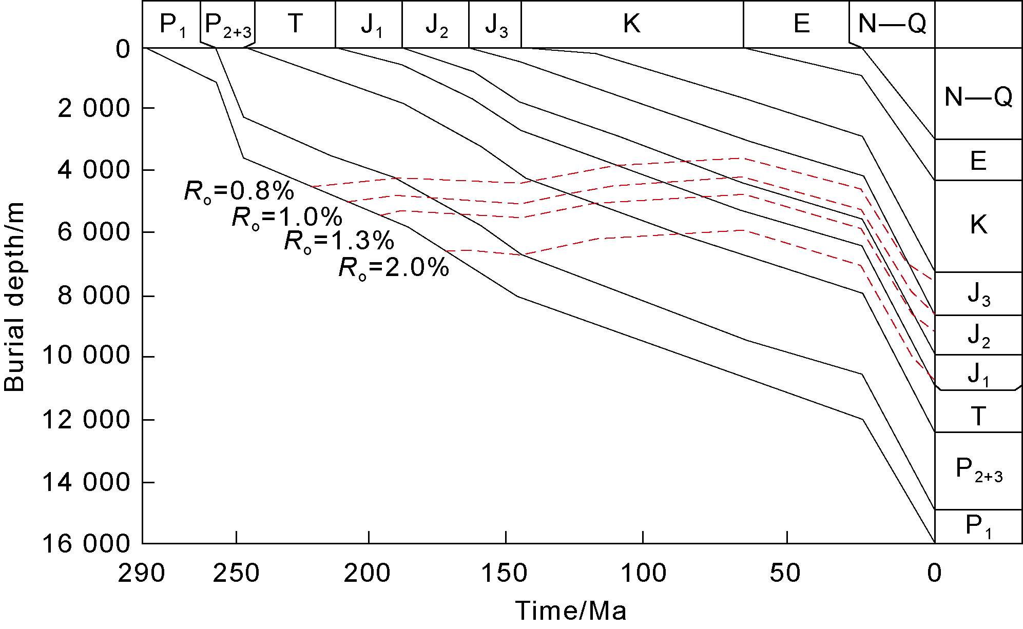
The organic matters of the Jurassic source rock mainly came from terrestrial higher plants, and are mainly Type II and Type III, indicating a set of good gas source rock. The Jurassic source rock is widely distributed in the Junggar Basin, with a wide range of burial depth, which leads to a great variation in planar maturity distribution of the source rock. In most of the northern basin, the Jurassic source rock is shallowly buried and generally in the immature to low-mature stage. In the southern sag, the Middle Jurassic is deep, corresponding to the mature to over-mature stage. In the southern margin of the basin, the Jurassic source rock has been continuously buried since it was deposited. It reached the hydrocarbon generation threshold at the end of the Early Cretaceous and entered the high-mature stage, or even over-mature stage in sag areas with large burial depth, in the Late Cretaceous (Fig. 2). The middle-lower Jurassic source rocks, along with Jurassic, Paleogene and Neogene reservoir/cap rocks, constitute the essential elements of the Jurassic petroleum system (Fig. 3).
Fig. 2. Burial history of Changji area in southern margin of Junggar Basin (Ro—organic matter maturity).
Fig. 3. Column of geological elements of Jurassic petroleum system in Junggar Basin.

2.2.2. Dynamic evolution process

The Lower Jurassic source rock reached its hydrocarbon generation peak in the Late Cretaceous to Paleogene, while the Middle Jurassic source rock has been a peak of hydrocarbon generation since the Paleogene. The Jurassic source rock in the southern margin of the Junggar Basin has the highest degree of thermal evolution, but its tectonic finalization is the latest in the basin. During the Yanshan Period, the piedmont belt at the southern margin of the basin was elevated greatly along with the thrusting of the Northern Tianshan Mountains on the interior of the basin, forming the first row of tectonic zones on the southern margin. During the Paleogene, the Indian Plate migrated towards and collided with the Eurasian continent under the influence of the Himalayan movement, resulting in an intense compression and expansion of the North Tianshan nappe towards the basin to thrust and fold the strata of the piedmont depression. This process induced the 2nd and 3rd rows of tectonic zones on the southern margin. According to the matching between the main hydrocarbon generation and expulsion periods of the Middle-Lower Jurassic source rocks and the trap-forming period, there are two critical moments for petroleum accumulation in the Jurassic petroleum system of the Junggar Basin [2,32 -34] (Fig. 4). One is the end of the Cretaceous, during which oil and gas generated from the Lower Jurassic source rock were accumulated in the 1st row of tectonic zones. At the meantime, regional seals, local seals, and direct seals all had sealing capacities. The other is Neogene, during which oil and gas generated by the Middle Jurassic source rock were accumulated in the lower assemblage with alternating source rock and reservoir rock and the upper assemblage with source rock in the lower part and reservoir rock in the upper part in the 2nd and 3rd rows of tectonic zones, respectively. Moreover, the uppermost regional caprock in the Jurassic petroleum system had good sealing capacity to allow for effective hydrocarbon preservation.
Fig. 4. Matching between static elements and dynamic evolution of Jurassic petroleum system in Junggar Basin.

2.2.3. Distribution

According to the distribution and degree of thermal evolution of the Jurassic source rocks in the Junggar Basin, it is depicted that the hydrocarbon generation center of the Jurassic petroleum system primarily existed in and to the south of the central depression (Fig. 5). The hydrocarbons generated by the Jurassic petroleum system in the Junggar Basin accumulated around the Shawan and Fukang hydrocarbon-generating sags, mainly in the slope zone of the central depression on the north, the piedmont zone on the south, the Jurassic pinch-out zone on the west, and the east slope of the Fukang sag [2]. These zones represent the distribution of petroleum system in the Junggar Basin.
Fig. 5. Distribution of Jurassic petroleum system in Junggar Basin.

3. Research approach and content of whole petroleum system

3.1. Research approach

The research on traditional petroleum system is suitable for conventional oil and gas resources. In contrast, the whole petroleum system is an orderly accumulation system that unifies conventional and unconventional oil and gas, and is an extension of the traditional petroleum system. Therefore, the research on whole petroleum system should be a continuation of the research on traditional petroleum system in respect of approach and content. It can be divided into three parts: (1) the characteristics and spatiotemporal configuration of static geological elements of the whole petroleum system; (2) the occurrence processes of petroleum accumulation events for the whole petroleum system and the dynamic evolution process of the whole petroleum system; and (3) the petroleum distribution and prospect prediction of the whole petroleum system (Fig. 6).
Fig. 6. Roadmap for the research on whole petroleum system.
The geological elements of traditional petroleum system mainly include effective source rock, reservoir rock, cap rock, transport system, and overburden rock related to conventional oil and gas. The large-scale development of unconventional oil and gas has confirmed that source rocks can both generate and store oil and gas, with enormous resource potential and scale. Therefore, the study of source rocks in the whole petroleum system should incorporate a quantitative evaluation of the retained hydrocarbon quantity in the source rocks, in addition to the determination of effective hydrocarbon kitchen. Unconventional oil and gas resources mainly exist in nano-, micron- and millimeter-scale reservoir spaces, where unconventional reservoirs are tight and have complex pore structures. In addition, the unique accumulation mechanisms and enrichment patterns of unconventional oil and gas resources demonstrate the higher control of source-reservoir assemblage on petroleum enrichment than trap, seal, and transport system. Thus, the research on whole petroleum system should focus on pore structure characterization and source-reservoir assemblage in terms of geological elements for unconventional resources.
The evolution process of a whole petroleum system includes geological processes related to conventional and unconventional hydrocarbon accumulations. As “critical moment” is used to analyze the spatiotemporal configuration between static elements and petroleum accumulation processes of conventional resources, trap conditions and high-quality reservoirs control the distribution of petroleum. For unconventional resources, the configuration between the densification process of tight reservoirs and hydrocarbon charging controls the petroleum distribution and accumulation scale. Therefore, the study on unconventional hydrocarbon accumulation process in a whole petroleum system should quantitatively restore the evolution process of tight reservoirs, reconstruct the history of hydrocarbon charging, and clarify the relationship between tight reservoir evolution and hydrocarbon charging. In addition, the later reworking process leads to changes in the effectiveness of conventional petroleum accumulation in traps and the occurrence of unconventional hydrocarbons, thereby affecting the enrichment and efficient recovery of petroleum. Therefore, the study on the evolution process of a whole petroleum system should also consider the later reworking of petroleum.
The ultimate goal of studying the whole petroleum systems is to achieve integrated exploration and development of all conventional and unconventional oil and gas resources in petroleum units. For conventional resources, the buoyancy accumulation mechanism is followed, the Darcy flow regime is dominant in the migration and accumulation process, and the petroleum accumulation mechanism controls the distribution range of oil and gas. For unconventional resources, petroleum is mainly accumulated in the source rocks by retention, or outside and near the source rocks, generally following a non-buoyant self-sealing accumulation mechanism. As to the prediction of oil and gas distribution in the whole petroleum system, the mechanism of unconventional hydrocarbon accumulation should be firstly clarified, and then the distribution and resource scale of conventional and unconventional oil and gas are reasonably predicted, especially the patterns of conventional and unconventional oil and gas distribution successions.

3.2. Research content

3.2.1. Geological elements

The geological elements of traditional petroleum system refer to the key elements for conventional hydrocarbon accumulation, including source rock, conventional reservoir, trap, migration pathway, and sealing conditions. On this basis, the geological elements of whole petroleum system additionally incorporate some elements related to unconventional hydrocarbon accumulation, such as retained hydrocarbon, tight reservoir, and source-reservoir assemblage.

3.2.1.1. Methods and examples of quantitative evaluation on retained hydrocarbon content

There are various methods for quantitatively evaluating the retained hydrocarbon content in shale strata. For shale gas, its content consists of three components: lost gas, in-situ desorbed gas, and residual adsorbed gas [35-36]. The lost gas is that portion of the total gas that escapes from the sample during its collection and retrieval prior to being sealed into an airtight desorption canister. Lost gas volume cannot be measured experimentally, but only be estimated from the loss time and the change rate of desorbed gas [37]. The residual gas refers to the gas remaining in the sample after desorption [38]. The shale gas content is generally determined using core samples. Once the core drilled using ordinary tools is extracted out of the wellhead, it is sampled immediately using a sealed tank. Then, a desorption canister is used to measure the change of gas content in the sample over time, and thus the desorbed gas content is determined [39]. The lost gas volume during the sampling process is calculated based on the time the sample is exposed from extraction to sampling, and then the residual gas content is determined by crushing the sample in the laboratory. For lost gas, the sealed pressure-retained coring method is adopted to avoid gas loss in the wellbore, and the exposure time of the core collected should be minimized to avoid gas loss in the atmosphere. For residual gas, the core sample is desorbed at high temperature above 90 °C to reduce the presence of residual gas, or the sample is crushed to measure the content of residual gas.
For shale oil, there are three mainstream methods for evaluating its retained hydrocarbon content: pyrolysis method, stepwise extraction method, and nuclear magnetic resonance (NMR) method. The pyrolysis method can be divided into two sub-types: conventional pyrolysis and stepwise pyrolysis [40-41]. The former uses the free hydrocarbon content (S1) to reflect the volume of retained hydrocarbons in the shale strata, but the S1 tested usually suffers light hydrocarbon loss and heavy hydrocarbon loss. By combining hydrocarbon generation kinetics with rock pyrolysis parameters of shale samples before and after extraction, S1 can be restored for light hydrocarbons and corrected for heavy hydrocarbons, thereby obtaining the retained hydrocarbon content in shale. The stepwise pyrolysis method determines the retained hydrocarbon content through quantitative evaluation on shale oil in different occurrence states in shale strata, under proper heating conditions, considering that such shale oils in different occurrence states are distinct in molecular thermal volatilization capacity, and that temperature ranges correspond to non-polar free compounds, polar free compounds, heavy hydrocarbons, and adsorbed substances (e.g. resin and asphaltene). The stepwise extraction method obtains the contents of hydrocarbons in different occurrence states by collecting extracts with solvents of different volumes or polarities, considering that the molecules with different compositions and polarities are selective in occurrence space and state [42]. The NMR method directly calculates the contents of shale oil in different occurrence states by distinguishing free oil and adsorbed oil depending on the differences of free oil, adsorbed oil, and kerogen in relaxation time on 2D NMR spectra [43]. In addition, molecular dynamics model, free hydrocarbon difference method, swelling method, material balance method, and pore oil saturation method can also be used to evaluate the contents of shale oil in different occurrence states [44].
Here, the source rock in the Upper Cretaceous Qingshankou Formation in northern Songliao Basin, NE China, is taken as an example. The Qingshankou Formation is a set of thick and extensive shale of semi-deep to deep lake facies. It is the hydrocarbon source of the whole petroleum system of the Qingshankou Formation in the Songliao Basin. For this set of shale, the organic matters are mainly Type I and Type II1. The total organic carbon content (TOC) ranges from 0.6% to 8.1%, with an average of about 2.39%; the (S1+S2) value ranges from 0.01 mg/g to 75.52 mg/g, with an average of about 11.17 mg/g. The thermal maturity (Ro) is 0.7%-1.6%, indicating a peak period of oil generation. Based on the geochemical parameters, the Qingshankou Formation shale is believed to have good oil generation capacity and be reliable for extensive hydrocarbon generation and expulsion, laying the foundation for shale oil accumulation through in-situ retention. By using frozen core test data to calibrate the hydrocarbon evolution process of the Qingshankou Formation shale, the chemical kinetic parameters were obtained. The light hydrocarbon restoration coefficient for the Qingshankou Formation shale was fitted to be around 1.00-3.65, which increases and remains stable with increasing maturity. The lost light hydrocarbon in the Qingshankou Formation shale was determined to be 1.00-16.04 mg/g, with an average of about 5.71 mg/g. The difference in retained hydrocarbon content (S2) of shale samples before and after extraction was compared to obtain the undetected heavy hydrocarbon loss ΔS2 in pyrolysis testing. The heavy hydrocarbon correction coefficient for the Qingshankou Formation shale was calculated to be about 2, and then the heavy hydrocarbon loss in the Qingshankou Formation shale was determined to be 0.02-13.18 mg/g, with an average of about 3.21 mg/g. Based on conventional rock pyrolysis, together with light hydrocarbon restoration and heavy hydrocarbon correction, the retained hydrocarbon content of the Qingshankou Formation shale is estimated to be 3.00-22.00 mg/g, with an average of about 8.69 mg/g, which is more than 2.5 times the S1 value measured by pyrolysis (Fig. 7). Clearly, this method is more accurate and reliable than the process that S1 is directly used as a parameter to evaluate resource quantity.
Fig. 7. Characteristics of retained hydrocarbons in Qingshankou Formation shale in northern Songliao Basin, NE China.

3.2.1.2. Microscopic characterization of tight reservoirs

The precise characterization of pore structure in tight unconventional hydrocarbon reservoirs is fundamental for unconventional hydrocarbon evaluation. This can be realized by image observation and fluid injection methods. The image observation methods include argon-ion polishing field emission-scanning electron microscopy (FE-SEM), large-view splicing, micro/nano CT, and focused ion beam scanning electron microscopy (FIB-SEM). Large-view splicing achieves a larger-scale characterization at high resolution, effectively reducing the impact of sample heterogeneity on observation results. Micro/nano CT images the pore structure non-destructively with high precision through X-ray scanning. FIB-SEM combines high-resolution imaging with ion cutting beam to image the pore structure in a 3D dimension. This high-resolution method may damage to the samples to a certain extent. The fluid injection methods mainly include low- temperature gas adsorption, high-pressure mercury injection, constant-rate mercury injection, and NMR experiment. Low-temperature gas adsorption includes carbon dioxide adsorption and nitrogen adsorption, which can characterize pore sizes ranging 0.35-2.00 nm and 0.35- 400.00 nm, respectively. High-pressure mercury injection enables a full pore size characterization of pore structure of tight reservoirs. Compared to high-pressure mercury injection, constant-rate mercury injection can effectively and separately extract pore parameters and throat parameters of tight reservoirs. NMR experiment can also characterize the pore size distribution of tight reservoirs.
Currently, the combination of low-temperature gas adsorption and high-pressure mercury injection is popular for characterizing the pore structure of tight reservoirs. Taking marine shale in southeastern Chongqing as an example, the Lower Silurian Longmaxi Formation and Cambrian Niutitang Formation shales reflect pore sizes of mainly 0.5-100.0 nm, with mesopores and micropores in dominance (Fig. 8). Given the thermal evolution degree, with the increase of TOC, the proportion of mesopores and micropores increases, and the development degree of shale pores also increases. Compared to the Longmaxi Formation, the Niutitang Formation shale has a higher degree of thermal evolution, and a lower development of shale pores, which are mainly micropores and few mesopores, and exhibit a less increase with the increase of TOC (Fig. 8). It should be noted that for samples with high clay mineral content and presence of microfractures, the accuracy of test results should be especially considered when the combination of low-temperature gas adsorption and high-pressure mercury injection is adopted.
Fig. 8. Full pore size characterization of pore structure in Lower Silurian Longmaxi Formation and Cambrian Niutitang Formation shales, China.

3.2.1.3. Source-reservoir assemblage of unconventional hydrocarbon

A source-reservoir assemblage is a stratigraphic unit composed of one or more sets of source rocks and a set of reservoir rock, which are explicitly related as petroleum supply and accumulation, and are adjacent or contiguous in space [45]. Based on the spatial configurations of source rocks and reservoir rocks in the tight oil basins in central and western China, five types of source-reservoir assemblages are recognized as follows: lower source and upper reservoir, upper source and lower reservoir, “sandwiched” source and reservoir, thin interbedded source and reservoir, and integrated source and reservoir. The first four types are common in tight freshwater lacustrine strata, while the last type is dominant in the tight saline lacustrine strata.
(1) Lower source and upper reservoir.
The source rock is developed below the reservoir rock, and in close contact with the reservoir rock extensively. This type of assemblage is mainly formed in the regressive sequences in the center and periphery of sedimentary depressions. A typical example is the source-reservoir assemblage for the tight oil of the Chang-64 sub-member of the Triassic Yanchang Formation in the Ordos Basin, where the Chang 7 Member source rock underlies the Chang-64 sub-member reservoir rock.
(2) Upper source and lower reservoir.
The source rock is developed above the reservoir rock, and in close contact with the reservoir rock extensively. This type of assemblage is equivalent to the source-reservoir-caprock assemblage with the source rock at the top for conventional reservoirs. It is mainly formed in the transgressive sequences in the center and periphery of sedimentary depressions. A typical example is the source-reservoir assemblage for the tight oil of the Chang-81 sub-member of the Yanchang Formation in the Ordos Basin, where the Chang-73 sub-member source rock overlies the Chang-81 sub-member reservoir rock. As the overlying source rock also serves as a seal, this assemblage often has better oil-bearing properties.
(3) “Sandwiched” source and reservoir.
The strata overlying and underlying the reservoir are both source rocks, and these sets of source rocks and reservoir rocks are closely and extensively contacted. This type of assemblage is mainly formed in the aggradational (stable transgressive-regressive) sequences in the center and periphery of sedimentary depressions. A typical example is the source-reservoir assemblage for the tight oil of the Chang-7 Member of the Yanchang Formation in the Ordos Basin, where the organic-rich shale in the Chang-7 Member is the source rock, and the tight clastic rock in the Chang-7 Member shales is the reservoir rock. As oil is supplied both upward and downward, this type of assemblage often has good oil-bearing properties.
(4) Thin interbedded source and reservoir.
Thin (thickness smaller than 1 m) source rocks and thin reservoir rocks are alternative and superimposed vertically. This type of assemblage usually appears in the source-reservoir transition zone in the slope of freshwater lake basins, and it is the result of frequent transgressive-regressive cycles. Being far from the depocenter, which results in thin source rocks with poor quality and thin reservoir rocks, this type of assemblage often has poor oil-bearing properties.
(5) Integrated source and reservoir.
Source rocks and reservoir rocks are mixed together and difficult to distinguish. This type of assemblage is usually developed in the center and periphery of saline lake basins, and is composed of fine-grained diamictite formed by the mixing of clastic rocks (e.g. mud shale, argillaceous siltstone, and sandstone) and carbonate rocks (e.g. dolomitic rock and limy rock). This type of assemblage often has good oil-bearing properties, since it is located in the organic-rich depocenter, where both dissolution and fracturing of carbonate rocks are available. A typical example is the upper and lower sweet spots of the Permian Lucaogou Formation in the Jimsar Sag, the Junggar Basin.

3.2.2. Dynamic evolution process

The dynamic evolution of a whole petroleum system includes the trapping and accumulating of conventional hydrocarbons, and the formation of unconventional hydrocarbons. The accumulation of unconventional hydrocarbons is a continuous process. Tight oil and gas reservoirs undergo a complex diagenetic evolution process, and the matching between this process and hydrocarbon charging often affects the distribution of tight oil and gas. For shale oil/gas and coalbed methane (CBM) reservoirs corresponding to the self-generation and self-preservation pattern, their formation is related to the conditions of the source rock itself, and also to the stable preservation conditions in the later stage, which is crucial to the petroleum enrichment in the source rock.

3.2.2.1. Matching of tight reservoir evolution with hydrocarbon charging

The matching between the densification process of tight reservoirs and hydrocarbon charging has always been a key subject in the study of tight oil/gas accumulation. According to the order of formation, tight oil/gas can be divided into two types: pre-formed, and post- formed [46]. For the pre-formed tight oil/gas, the densification process of reservoir has completed before the peak hydrocarbon generation and expulsion of the source rocks. The pore structure of such reservoir is complex and poorly connected. The tight oil/gas is accumulated under the driving of the pressurization from hydrocarbon generation of the source rock, following a non-buoyancy mechanism. Ultimately, tight oil/gas reservoirs with large thickness and wide range are formed. For the post-formed tight oil/gas, the reservoirs remain conventional when charged with crude oil, and gradually become tighter under compaction in the later stage. It is mainly accumulated following the buoyancy mechanism. Controlled by early trap, the reservoirs are distributed in a small range, with the maximum petroliferous area not beyond the trap (Fig. 9).
Fig. 9. Matching between densification process of tight oil/gas reservoirs and hydrocarbon charging [46]. ϕ—Porosity; K—Permeability.
The research on the densification process and hydrocarbon charging of tight reservoirs mainly includes two aspects: quantitative restoration of the densification process of tight reservoirs, and determination of the charging period of tight oil/gas. For quantitative restoration of the densification process of tight reservoirs, the main diagenetic process for tight reservoirs is determined; then, the reservoir-forming effect of diagenesis is calculated; and ultimately the densification process of tight reservoirs under diagenetic evolution constraints is constructed based on the diagenetic evolution sequence. The charging period of tight oil/gas is mainly determined by homogenization temperature of inclusions, dating of authigenic illite, dating of crude oil isotopes, and hydrocarbon generation and expulsion history of source rocks. Based on the above analysis, the hydrocarbon charging process when tight oil/gas reservoirs are densified is determined, and then the matching between them is clarified.
Here, the tight sandstone gas in the second member of the Xujiahe Formation (referred to as Xu-2 Member) of the Upper Triassic in the West Sichuan Sag is taken as an example for discussion. The tight sandstone reservoir in the Xu-2 Member has undergone strong compaction and diagenesis, and stays in the late diagenetic stage B. The initial porosity of the tight sandstone in the Xu-2 Member is about 45%. After the early diagenetic stages A and B, the reservoir porosity evolved to 18%-22% under compaction and cementation. In the late diagenetic stage A, the combined action of compaction, cementation, and dissolution caused the reservoir to be tight. At the end of this stage, the reservoir porosity decreased to 6%-10% (corresponding to the early stage of Late Jurassic). In the late diagenetic stage B, the influence of compaction weakened, and cementation made the reservoir tighter, with porosity mostly of 2%-5% [47]. The main source rock of the Xujiahe Formation in the West Sichuan Sag reached the hydrocarbon generation threshold in the early stage of Late Jurassic, and entered the period of peak hydrocarbon generation in the early stage of Early Cretaceous, later than the time when the sandstone reservoir of the Xu-2 Member became tight. In addition, the homogenization temperature detection results of the inclusions indicate that the hydrocarbon charging of the tight reservoir in the Xu-2 Member occurred from the late stage of Late Jurassic to the early stage of Early Cretaceous. Based on the evolution history of tight reservoirs, the hydrocarbon generation history of source rocks, and the homogenization temperature of inclusions, the tight sandstone gas reservoir in the Xu-2 Member of the West Sichuan Sag is believed to be a typical pre-formed tight gas reservoir that became tight before hydrocarbon accumulation [48].

3.2.2.2. Later reworking of unconventional hydrocarbon reservoirs

The later reworking of unconventional reservoirs can lead to changes in temperature, pressure, and preservation conditions inside the reservoirs, thereby altering the occurrence state of unconventional hydrocarbons, and especially affecting the content of free oil/gas [18]. Therefore, the later reworking of unconventional hydrocarbon reservoirs is crucial for the enrichment of unconventional hydrocarbons, especially for gas reservoirs such as marine shale gas and high-rank CBM that have been structurally uplifted and finalized in the later stage.
Amplitude and time of structural uplift control the enrichment degree of marine shale gas and high-rank CBM. Taking high-rank CBM as an example, we investigated the enrichment degree of CBM under different tectonic evolution modes [49] (Fig. 10). If the coalbeds rose continuously after regional uplift inversion to the CBM weathering zone, the CBM reservoirs were damaged, resulting in a low gas content. If the coalbeds rose continuously after regional uplift inversion, but stay presently below the CBM weathering zone, the coalbeds would hold a high gas content. However, if the coalbeds subsided continuously after regional uplift inversion, the coalbeds would contain a high gas content, but the coalbed permeability decreased, which is not conducive for development. Marine shale gas was taken as an example to identify the impact of structural uplift time on gas reservoirs. The tectonic uplift of the Ordovician Wufeng Formation-Silurian Longmaxi Formation shales in the Jiaoshiba area of the Sichuan Basin began around 85 Ma, later than the uplift time in the Pengshui area (125 Ma), creating a high-yield shale gas area. The Pengshui area was uplifted early for a long period, and has not obtained industrial discovery, indicating that the late and short-time uplift is conducive to the preservation and enrichment of shale gas [50].
Fig. 10. Current CBM enrichment degree under different tectonic evolution modes.

3.2.3. Distribution of oil and gas in whole petroleum system

A whole petroleum system is studied to achieve large- scale, overall discovery and efficient production of conventional and unconventional oil and gas within petroleum units. The whole petroleum system features a coexistence and enrichment of conventional and unconventional oil and gas, and is a unified and orderly accumulation system. However, such accumulation system is controlled by the genesis mechanism of the conventional and unconventional hydrocarbons. Conventional hydrocarbons accumulate by buoyancy, generally at structural highs after migration controlled by fluid potential. Unconventional hydrocarbons accumulate by non-buoyancy, and continuously in the center and slopes of a basin, which is closely related to the mechanism of unconventional hydrocarbon accumulation. Therefore, the study on petroleum distribution patterns in the whole petroleum system should focus more on unconventional hydrocarbon accumulation mechanisms and conventional-unconventional hydrocarbon distribution sequences, based on study of traditional petroleum systems.

3.2.3.1. Unconventional hydrocarbon accumulation mechanism

For unconventional reservoirs, which are tight and contain pore-throats with diameters mostly of 5-900 nm, buoyancy is insufficient to drive oil/gas to migrate through the pore-throats by overcoming the capillary force. Oil and gas are mainly bound in the reservoir space in free and adsorbed states, exhibiting the characteristics of hydrocarbon accumulation by retention and self-sealing [17,51]. Jia Chengzao analyzed the unconventional hydrocarbon accumulation characteristics of typical petroliferous basins in China, and pointed out that the driving force of unconventional hydrocarbon accumulation is intermolecular force, and the self-sealing effect of petroleum is the key to the unconventional hydrocarbon accumulation [16]. According to the intermolecular force and corresponding self-sealing effect, unconventional hydrocarbon accumulation mechanisms can be divided into three types: (1) macromolecular viscosity and condensation forces, for heavy oil and asphalt; (2) capillary pressure and molecular adsorption force, for tight oil and gas, shale oil and gas, and CBM; and (3) intermolecular clathration, for gas hydrate.
Here, the shale gas reservoir in the Longmaxi Formation of the Sichuan Basin is taken as an example to explore the self-sealing mechanism of unconventional hydrocarbon. From bottom up, the TOC and porosity of the shale gas reservoir in the Longmaxi Formation show a gradually decreasing trend, while the water saturation gradually increases. Its self-sealing mechanism mainly includes capillary force, physical properties, and adsorption force. The capillary force is the core of the self-sealing effect for the Longmaxi Formation shale gas (Fig. 11). When the hydrostatic pressure, capillary force, and fluid expansion force inside the shale gas reservoir reach an equilibrium, the gas reservoir can form self-sealing. When the hydrostatic pressure and fluid expansion force are constant, the capillary force becomes the key to self-sealing of gas reservoir. When the water saturation inside the reservoir reaches a critical level, capillary water is formed in the connected pores, so that the reservoir can be effectively sealed by capillary force. The water saturation of the shale in the second submember of the first member of the Longmaxi Formation (hereinafter referred to as Long-12) above the major gas layer of the Longmaxi Formation shale gas reservoir has reached the critical level, forming a good capillary force sealing. The development degree and connectivity of pores in the shale reservoir of Long-12 are inferior to those in Long-11, which is conducive to the formation of physical property sealing. Although Long-11 has lower water saturation, well-developed pores, and better connectivity, capillary force sealing and physical property sealing can also be formed in areas where irreducible water exists and pore connectivity is poor locally. In addition, shale gas in adsorbed state occupies the effective migration path of free gas and can form a certain self-sealing effect. The self- sealing state of shale gas is relative. When tectonic movements cause strata to rise and fracture, the self-sealing system of shale gas is broken, and the equilibrium state is disrupted. Ultimately, the shale gas reservoir is destroyed and a new self-sealing equilibrium is formed.
Fig. 11. Self-sealing mechanism of Longmaxi Formation shale gas (modified from Ref. [52]).

3.2.3.2. Distribution sequences of conventional and unconventional oil and gas

Different types of unconventional and conventional oil and gas resources are distributed in an orderly manner within a whole petroleum system [17]. In continental basins, from the margin to the interior, the sedimentary facies transits from sand-dominated to mud-dominated. As the burial depth increases, the degree of thermal evolution of the source rock increases. From the oil generation window to the gas generation window, the reservoir becomes tighter under the joint action of compaction and diagenesis. From deep to shallow, the differences in geological conditions and source-reservoir assemblages of various reservoirs lead to changes in petroleum accumulation mechanisms and locations. Conventional oil and gas accumulate by buoyancy at structural highs outside the source rock. Unconventional oil and gas accumulate near or within the source rock under the drive of pressure difference and by self-sealing. As early as 2013, we proposed [17] that the oil and gas generated from a set of source rock in a petroliferous basin exhibit an orderly distribution of conventional oil and gas, tight oil and gas, and shale oil and gas, with the increasing burial depth vertically, and an orderly distribution of shale oil and gas, tight oil and gas, and conventional oil and gas, from the center to exterior of the basin, horizontally (Fig. 12).
Fig. 12. Orderly distribution of conventional-unconventional oil and gas [17].
Jia Chengzao, after putting forward the concept model of the whole petroleum system in 2017, based on the exploration practice of the Permian in the Junggar Basin,revealed the “sequential accumulation law of conventional and unconventional oil and gas in the whole petroleum system” of the Permian in the Junggar Basin [12]: tight oil-conventional oil is formed by sequentially charging from the source rock of the Permian Fengcheng Formation upward, and shale oil is formed by the retained petroleum in the Fengcheng Formation; conventional oil, tight oil and shale oil are developed from shallow to deep strata. Through in-depth study on the whole petroleum system of the Qingshankou Formation in the northern part of the Songliao Basin, we found that the shale of the Qingshankou Formation develops sediments of delta plain, delta front, pre-delta, and deep/semi-deep lake facies from the edge to the center of the lake basin. The reservoir type sequence consists of fine sandstone, siltstone, and shale, gradually becoming tighter. Horizontally, conventional oil reservoir, tight oil reservoir and shale oil reservoir are sequentially distributed (Fig. 13). The orderly distribution of conventional-unconventional oil and gas in the whole petroleum system breaks the approach of traditional petroleum exploration that focuses only on a single type of petroleum resources.
Fig. 13. Sequential distribution pattern of conventional-unconventional oil and gas in a whole petroleum system of Qingshankou Formation in northern Songliao Basin, NE China.

4. Conclusions

The whole petroleum system is a natural system that encompasses all oil and gas generated by a set of source rock or interrelated source rocks in a petroliferous basin, as well as all geological elements and processes involved in the generation to accumulation (including continuous accumulation of unconventional oil and gas and accumulation of conventional oil and gas in traps), as well as later reworking of these oil and gas. The whole petroleum system is an extension of the traditional petroleum system. It covers an extent “from source to accumulation” rather than “from source to trap”. Unlike the petroleum system, the theory of whole petroleum system incorporates unconventional hydrocarbon resources into the evaluation system. Starting from effective source rock, it deals with the formation, evolution, and distribution of all conventional-unconventional hydrocarbon resources related to a set of source rock or interrelated source rocks within the petroleum unit, and reveals the correlation and differences of conventional-unconventional hydrocarbon resources from the perspective of genesis mechanism.
The whole petroleum system is a guiding ideology for petroleum exploration and development, and a theory for studying the generation, migration, and accumulation of hydrocarbons within petroleum units. As an emerging field of petroleum geology, the whole petroleum system covers three aspects: geological elements, dynamic evolution, and petroleum distribution. Based on the basin sedimentary system and structural evolution framework, it is studied to clarify the geological elements and evolution process of conventional-unconventional hydrocarbons. Depending on the accumulation mechanism of conventional-unconventional hydrocarbon, the hydrocarbon distribution and configuration are predicted, thereby supporting the overall study and three-dimensional exploration of conventional-unconventional hydrocarbons.
[1]
MAGOON L B, DOW W G. The petroleum system: MAGOON L B, DOW W G. The petroleum system: From source to trap. Tulsa: American Association of Petroleum Geologists, 1994: 2-24.

[2]
SONG Yan, WANG Xishuang, FANG Dequan. The formation and development of petroleum systems in Junggar Basin. Acta Petrolei Sinica, 2000, 21(4): 20-25.

DOI

[3]
HE Dengfa, ZHAO Wenzhi, LEI Zhenyu, et al. Characteristics of composite petroleum systems of superimposed basins in China. Earth Science Frontiers, 2000, 7(3): 23-37.

[4]
ZHAO Wenzhi, HE Dengfa. Concept and its significance of composite petroleum systems in China. Petroleum Explorationist, 2000, 5(3): 1-11.

[5]
ZHAO Wenzhi, HE Dengfa, CHI Yingliu, et al. Major characteristics and exploration technology of multi-source petroleum systems in China. Acta Petrolei Sinica, 2001, 22(1): 6-13.

DOI

[6]
FANG Shihu, XU Huaimin, SONG Yan, et al. Characteristics and evolution of the composite petroleum system in Jimsar Depression, eastern Junggar Basin. Acta Geoscientica Sinica, 2005, 26(3): 259-264.

[7]
ZHAO Wenzhi, HE Dengfa. Characteristics and exploration strategy of composite petroleum systems in China. Acta Petrolei Sinica, 2002, 23(6): 1-11.

[8]
ZHANG Shuichang, ZHANG Bin, WANG Xiaomei, et al. Gulong shale oil enrichment mechanism and orderly distribution of conventional-unconventional oil in the Cretaceous Qingshankou Formation, Songliao Basin, NE China. Petroleum Exploration and Development, 2023, 50(5): 911-923.

[9]
ZHU Rixiang, ZHANG Shuichang, WAN Bo, et al. Effects of Neo-Tethyan evolution on the petroleum system of Persian Gulf superbasin. Petroleum Exploration and Development, 2023, 50(1): 1-11.

[10]
WANDREY C J, LAW B E, SHAH H A. Patala-Nammal composite total petroleum system, Kohat-Potwar geologic province, Pakistan: Bulletin 2208-B. Reston, VA: U.S. Geological Survey, 2004.

[11]
WEI Hengfei, LI Qiuyuan, BI Jianjun, et al. Discussion on the petroleum system of hydrocarbon source-rock series. Petroleum Geology & Oilfield Development in Daqing, 2020, 39(6): 1-12.

[12]
JIA Chengzao. Breakthrough and significance of unconventional oil and gas to classical petroleum geological theory. Petroleum Exploration and Development, 2017, 44(1): 1-11.

[13]
PANG X Q. Quantitative evaluation of the whole petroleum system. Singapore: Springer, 2023.

[14]
PANG Xiongqi, JIA Chengzao, SONG Yan, et al. Quantitative evaluation of whole petroleum system: Principle and application. Acta Petrolei Sinica, 2022, 43(6): 727-759.

DOI

[15]
JIA C Z, PANG X Q, SONG Y. Whole petroleum system and ordered distribution pattern of conventional and unconventional oil and gas reservoirs. Petroleum Science, 2023, 20(1): 1-19.

[16]
JIA Chengzao, PANG Xiongqi, SONG Yan. The mechanism of unconventional hydrocarbon formation: Hydrocarbon self-containment and intermolecular forces. Petroleum Exploration and Development, 2021, 48(3): 437-452.

[17]
SONG Yan, JIANG Lin, MA Xingzhi. Formation and distribution characteristics of unconventional oil and gas reservoirs. Journal of Palaeogeography, 2013, 15(5): 605-614.

[18]
SONG Yan, LI Zhuo, JIANG Zhenxue, et al. Progress and development trend of unconventional oil and gas geological research. Petroleum Exploration and Development, 2017, 44(4): 638-648.

[19]
YANG Zhi, ZOU Caineng. Orderly “symbiotic enrichment” of conventional & unconventional oil and gas: Discussion on theory and technology of conventional & unconventional petroleum geology. Acta Geologica Sinica, 2022, 96(5): 1635-1653.

[20]
DOW W G. Application of oil-correlation and source-rock data to exploration in Williston Basin. AAPG Bulletin, 1974, 58(7): 1253-1262.

[21]
PERRODON A. Petroleum systems: Models and applications. Journal of Petroleum Geology, 1992, 15(2): 319-325.

[22]
PERRODON A, MASSE P. Subsidence, sedimentation and petroleum systems. Journal of Petroleum Geology, 1984, 7(1): 5-25.

[23]
MEISSNER F F, WOODWARD J, CLAYTON J L. Stratigraphic relationships and distribution of hydrocarbon source rocks in greater rocky mountain region: Abstract. AAPG Bulletin, 1984, 68(7): 942.

[24]
ULMISHEK G. Stratigraphic aspects of petroleum resource assessment: RICE D D. Oil and gas assessment: Methods and applications. Tulsa: American Association of Petroleum Geologists, 1986: 59-68.

[25]
MAGOON L B. Petroleum system: A classification scheme for research, resource assessment, and exploration. Los Angeles: AAPG Annual Convention, 1987: 91038.

[26]
MAGOON L B. Petroleum systems of the United States: Bulletin 1870. Washington, D.C.: United States Government Printing Office, 1988.

[27]
MAGOON L B. The play that complements the petroleum system-a new exploration equation. Oil and Gas Journal, 1995, 93(40): 85-87.

[28]
MAGOON L B, SCHMOKER J W. The total petroleum system: The natural fluid network that constrains the assessment unit: USGS World Energy Assessment Team. U.S. geological survey digital data series 60. Reston, VA: U.S. Geological Survey, 2000: PS-1-PS-20.

[29]
POLLASTRO R M. Total petroleum system assessment of undiscovered resources in the giant Barnett Shale continuous (unconventional) gas accumulation, Fort Worth Basin, Texas. AAPG Bulletin, 2007, 91(4): 551-578.

[30]
JIA Chengzao, ZHENG Min, ZHANG Yongfeng. Four important theoretical issues of unconventional petroleum geology. Acta Petrolei Sinica, 2014, 35(1): 1-10.

DOI

[31]
JIA Chengzao, PANG Xiongqi, SONG Yan. Basic principles of the whole petroleum system. Petroleum Exploration and Development, 2024, 51(4): 679-691.

[32]
SONG Yan, DAI Jinxing, SUN Yongxiang, et al. Geologic characteristics of natural gas and a prediction of the best accumulation zones in western part of southern margin of Junggar Basin. Petroleum Exploration and Development, 1993, 20(1): 48-54.

[33]
SONG Yan, DAI Chunsen, CHEN Ying. Oil-gas enrichment laws and reservoir-formed characteristics in the central part of Junggar Basin. Natural Gas Industry, 1996, 23(6): 9-13.

[34]
SONG Yan, XIA Xinyu, WANG Zhenliang, et al. Coupling effect of migration and accumulation dynamics of natural gas. Chinese Science Bulletin, 2001, 46(22): 1906-1910.

[35]
TAKAHASHI K U, SUZUKI N, SAITO H. Compositional and isotopic changes in expelled and residual gases during anhydrous closed-system pyrolysis of hydrogen-rich Eocene subbituminous coal. International Journal of Coal Geology, 2014, 127: 14-23.

[36]
MA Y, ZHONG N N, LI D H, et al. Organic matter/clay mineral intergranular pores in the Lower Cambrian Lujiaping Shale in the north-eastern part of the Upper Yangtze area, China: A possible microscopic mechanism for gas preservation. International Journal of Coal Geology, 2015, 137: 38-54.

[37]
DIAMOND W P, SCHATZEL S J. Measuring the gas content of coal: A review. International Journal of Coal Geology, 1998, 35(1/2/3/4): 311-331.

[38]
STRĄPOĆ D, MASTALERZ M, SCHIMMELMANN A, et al. Geochemical constraints on the origin and volume of gas in the New Albany Shale (Devonian-Mississippian), eastern Illinois Basin. AAPG Bulletin, 2010, 94(11): 1713-1740.

[39]
TANG X L, JIANG Z X, JIANG S, et al. Characteristics and origin of in-situ gas desorption of the Cambrian Shuijingtuo Formation shale gas reservoir in the Sichuan Basin, China. Fuel, 2017, 187: 285-295.

[40]
XUE Haitao, TIAN Shansi, LU Shuangfang, et al. Selection and verification of key parameters in the quantitative evaluation of shale oil: A case study at the Qingshankou Formation, northern Songliao Basin. Bulletin of Mineralogy, Petrology and Geochemistry, 2015, 34(1): 70-78.

[41]
JIANG Qigui, LI Maowen, QIAN Menhui, et al. Quantitative characterization of shale oil in different occurrence states and its application. Petroleum Geology and Experiment, 2016, 38(6): 842-849.

[42]
QIAN Menhui, JIANG Qigui, LI Zhiming, et al. A study on the compositional kinetics of shale hydrocarbon generation under an open system: Taking the Bonan sub-sag as an example. Geochimica, 2017, 46(2): 149-157.

[43]
KHATIBI S, OSTADHASSAN M, XIE Z H, et al. NMR relaxometry a new approach to detect geochemical properties of organic matter in tight shales. Fuel, 2019, 235: 167-177.

[44]
HU T, PANG X Q, JIANG F J, et al. Movable oil content evaluation of lacustrine organic-rich shales: Methods and a novel quantitative evaluation model. Earth-Science Reviews, 2021, 214: 103545.

[45]
SONG Yan, LUO Qun, JIANG Zhenxue, et al. Enrichment of tight oil and its controlling factors in central and western China. Petroleum Exploration and Development, 2021, 48(2): 421-433.

[46]
JIANG Zhenxue, LIN Shiguo, PANG Xiongqi, et al. The comparison of two types of tight sand gas reservoir. Petroleum Geology and Experiment, 2006, 28(3): 210-214.

[47]
CHEN Dongxia, PANG Xiongqi, YANG Keming, et al. Porosity evolution of tight gas sand of the second member of Xujiahe Formation of Upper Triassic, western Sichuan Depression. Journal of Jilin University (Earth Science Edition), 2012, 42(S1): 42-51.

[48]
CHEN Dongxia, PANG Xiongqi, YANG Keming, et al. Genetic mechanism and formation of superimposed continuous tight sandstone reservoir in deep Xujiahe Formation in western Sichuan Depression. Journal of Jilin University (Earth Science Edition), 2016, 46(6): 1611-1623.

[49]
SONG Yan, ZHAO Mengjun, LIU Shaobo, et al. The influence of tectonic evolution on the enrichment degree of coalbed methane. Chinese Science Bulletin, 2005, 50(S1): 1-5.

[50]
JI W M, SONG Y, JIANG Z X, et al. Geological controls and estimation algorithms of lacustrine shale gas adsorption capacity: A case study of the Triassic strata in the southeastern Ordos Basin, China. International Journal of Coal Geology, 2014, 134/135: 61-73.

[51]
ZHANG K, SONG Y, JIA C Z, et al. Vertical sealing mechanism of shale and its roof and floor and effect on shale gas accumulation, a case study of marine shale in Sichuan Basin, the Upper Yangtze area. Journal of Petroleum Science and Engineering, 2019, 175: 743-754.

[52]
WAN Chengxiang. Self-sealing mechanism and controlling factors of marine shale: A case study of Longmaxi Formation in Sichuan Basin. Beijing: China University of Petroleum (Beijing), 2023.

Outlines

/